[結構工程師]結構力學考點輔導第一節-66
更新時間:2010-12-01 09:38:12
來源:|0
瀏覽
收藏
結構工程師報名、考試、查分時間 免費短信提醒
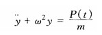
三、單自由度體系無阻尼強迫振動
設在質量m處沿質量自由度方向作用一般動力荷載P(t),則由達朗伯原理,可得運動微分方程為
(6—10)
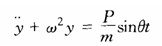
下面討論常見動力荷載簡諧荷載作用時結構的動力反應。
將簡諧荷載 P(t) =P sinθt式(6—10),這里P為荷載的幅值(最大值),θ為簡諧荷載的圓頻率,得
(6—11)
設在t=0時體系的初始位移和初始速度均等于零,則式(6—11)的通解為
(6—12)
式中
(6—13)
為結構的最大靜力位移,即將動荷載的最大值P作為靜荷載作用時結構所產生的位移。
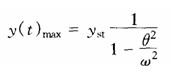
由式(6—12)可知,振動由兩部分合成,第一部分按荷載頻率θ振動,稱為穩態強迫振動;第二部分按結構自振頻率ω振動,稱為伴生自由振動。實際問題中,穩態強迫振動較為重要。穩態強迫振動的最大位移(振幅)為
(6—14)
最大動力位移y(t)max與最大靜力位移yst的比值稱為位移動力系數,用μ表示,即
(6—15)
位移動力系數μ與頻率比θ/ω的關系曲線如圖6—6所示。當θ/ω <1時,μ為正,表示動力位移與動力荷載的指向一致。當θ/ω >1時,μ為負值,表示動力位移與動力荷載指向相反,這僅在不計阻尼時出現。既然位移隨時間作簡諧變化,而工程設計中,往往要求的是振幅絕對值,可不考慮μ的正負號,故圖6—6的縱坐標采用μ的絕對值。
2010結構工程師考試成績查詢匯總 2010年結構工程師考后交流正熱
2011結構工程師考試輔導招生簡章 2011年度結構工程師考試時間確定
編輯推薦
最新資訊
- 2025年一級注冊結構工程師考前實戰試題解析:突破考試瓶頸的終極指南‌2025-10-13
- 2025年一級注冊結構工程師常考知識點2025-02-17
- 2025年二級注冊結構工程師高頻知識點2025-02-17
- 2024年度二級注冊結構工程師專業考試資料:規范、標準、規程2024-08-13
- 2024年度一級注冊結構工程師專業考試資料:規范、標準、規程2024-08-13
- 環球網校雙11預售開啟!定金百倍膨脹,直播再返現金2023-10-25
- 環球網校結構工程師雙11活動來啦,限時優惠!2023-10-25
- 注冊結構工程師考試大綱下載2023-05-16
- 2023年一級注冊結構工程師考試大綱內容2023-04-14
- 2023年結構工程師教材內容變動對比2023-04-10