[結構工程師]結構力學考點輔導第一節-65
更新時間:2010-12-01 09:33:42
來源:|0
瀏覽
收藏
結構工程師報名、考試、查分時間 免費短信提醒
二、單自由度無阻尼自由振動方程、自振周期和自振頻率
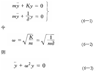
設y為沿質量m自由度方向某一時刻t的動力位移,則由達朗伯原理,得單自由度體系無阻尼自由振動方程為

式(6—1)中的
為慣性力;Ky為體系的彈性力,K(或δ)為體系在集中質量處沿其自由度方向的剛度(或柔度)系數。
設初位移為y0,初速度為
,則式(6—3)的解為
6—4)
或
y=Asin(ωt+φ) (6—5)
式中 A為振幅,φ為初相角。
(6—6)
T即為自振周期,自振周期的倒數稱為頻率,記作f:
f=1/T (6—7)
f表示單位時間內的振動次數,常用單位為1/s,或稱為赫茲(Hz)。
ω稱為圓頻率或角頻率(有時習慣上也稱為頻率),ω的單位為弧度/s。
自振頻率ω的計算公式(6—2)又可表示為

式中 W=mg為質量m的重量,g為重力加速度,Δst是體系在質量m處沿其自由度方向由重量W產生的靜力位移。
從式(6—8)、(6—9)可知,結構的自振頻率和自振周期只與結構的質量和剛度有關,它們是結構很重要的動力特性參數。只要改變結構的質量和剛度,就能改變結構的自振頻率或自振周期。在質量相同的條件下,增大結構的剛度,頻率也隨之增大。

圖6-2
2010結構工程師考試成績查詢匯總 2010年結構工程師考后交流正熱
2011結構工程師考試輔導招生簡章 2011年度結構工程師考試時間確定
編輯推薦
最新資訊
- 2025年一級注冊結構工程師考前實戰試題解析:突破考試瓶頸的終極指南‌2025-10-13
- 2025年一級注冊結構工程師??贾R點2025-02-17
- 2025年二級注冊結構工程師高頻知識點2025-02-17
- 2024年度二級注冊結構工程師專業考試資料:規范、標準、規程2024-08-13
- 2024年度一級注冊結構工程師專業考試資料:規范、標準、規程2024-08-13
- 環球網校雙11預售開啟!定金百倍膨脹,直播再返現金2023-10-25
- 環球網校結構工程師雙11活動來啦,限時優惠!2023-10-25
- 注冊結構工程師考試大綱下載2023-05-16
- 2023年一級注冊結構工程師考試大綱內容2023-04-14
- 2023年結構工程師教材內容變動對比2023-04-10