2011結構工程師第16章-砌體結構輔導[50]
更新時間:2010-11-09 09:52:28
來源:|0
瀏覽
收藏
結構工程師報名、考試、查分時間 免費短信提醒
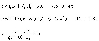
(3)小偏心受壓
圖16-3-19b,小偏壓時應按下列公式計算:

矩形截面對稱配筋砌塊砌體剪力墻小偏心受壓時,也可近似按下式計算鋼筋截面面積

此處,相對受壓區高度可按下式計算:

2010結構工程師考試成績查詢匯總 2010年結構工程師考后交流正熱
2011結構工程師考試輔導招生簡章 2011年度結構工程師考試時間確定
編輯推薦
最新資訊
- 2025年一級注冊結構工程師考前實戰試題解析:突破考試瓶頸的終極指南‌2025-10-13
- 2025年一級注冊結構工程師常考知識點2025-02-17
- 2025年二級注冊結構工程師高頻知識點2025-02-17
- 2024年度二級注冊結構工程師專業考試資料:規范、標準、規程2024-08-13
- 2024年度一級注冊結構工程師專業考試資料:規范、標準、規程2024-08-13
- 環球網校雙11預售開啟!定金百倍膨脹,直播再返現金2023-10-25
- 環球網校結構工程師雙11活動來啦,限時優惠!2023-10-25
- 注冊結構工程師考試大綱下載2023-05-16
- 2023年一級注冊結構工程師考試大綱內容2023-04-14
- 2023年結構工程師教材內容變動對比2023-04-10