2011結構工程師第16章-砌體結構輔導[49]
更新時間:2010-11-09 09:45:11
來源:|0
瀏覽
收藏
結構工程師報名、考試、查分時間 免費短信提醒
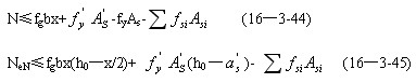
(2)大偏心受壓
大偏心受壓時應按下列公式計算(圖16-3-19):

式中 N--軸向力設計值;
fg--灌孔砌體的抗壓強度設計值;
——豎向受拉、受壓主筋的強度設計值;
b--截面寬度;
fsi--豎向分布鋼筋的抗拉強度設計值;
——豎向受拉、受壓主筋的截面面積;
Asi——單根豎向分布鋼筋的截面面積;
Ssi--第i根豎向分布鋼筋對豎向受拉主筋的面積矩;
eN-軸向力作用點到豎向受拉主筋合力點之間的距離,可按式(16-3-35)的規定計算。
當受壓區高度
時,其正截面承載力可按下式計算:
![]()
式中 e'N——軸向力作用點至豎向受壓主筋合力點之間的距離。可按式(16-3-34)的規定計算。

當采用對稱配筋(即
)時,可先設定豎向分布鋼筋的配筋率、抗拉強度設計值和單根鋼筋的截面面積,并扣除(圖16-3-19a)位于中和軸附近1.5倍x范圍內未達到屈服強度的分布鋼筋,代人式(16-3-44),可求得截面受壓區高度x將;代人式(16-3-45)即可求得![]()
同理,當受壓區高度x<;
時,應令x=
,并對豎向受壓主筋的重心取矩,即可求得
,見式(16-3-46)
2010結構工程師考試成績查詢匯總 2010年結構工程師考后交流正熱
2011結構工程師考試輔導招生簡章 2011年度結構工程師考試時間確定
編輯推薦
最新資訊
- 2025年一級注冊結構工程師考前實戰試題解析:突破考試瓶頸的終極指南‌2025-10-13
- 2025年一級注冊結構工程師常考知識點2025-02-17
- 2025年二級注冊結構工程師高頻知識點2025-02-17
- 2024年度二級注冊結構工程師專業考試資料:規范、標準、規程2024-08-13
- 2024年度一級注冊結構工程師專業考試資料:規范、標準、規程2024-08-13
- 環球網校雙11預售開啟!定金百倍膨脹,直播再返現金2023-10-25
- 環球網校結構工程師雙11活動來啦,限時優惠!2023-10-25
- 注冊結構工程師考試大綱下載2023-05-16
- 2023年一級注冊結構工程師考試大綱內容2023-04-14
- 2023年結構工程師教材內容變動對比2023-04-10