2011結構工程師第16章-砌體結構輔導[51]
更新時間:2010-11-09 09:58:42
來源:|0
瀏覽
收藏
結構工程師報名、考試、查分時間 免費短信提醒
2.T形、倒L形截面偏心受壓配筋砌塊砌體剪力墻正截面承載力
(1)翼緣計算寬度
的取值
T形、倒L形截面偏心受壓構件,當冀緣和腹板的相交處采用錯縫搭接砌筑和同時設置中距不大于1.2m的配筋帶(截面高度≥60mm,鋼筋不少于2ø12)時,可考慮冀緣的共同工作,翼緣的計算寬度應按表16-3-3中的最小值采用。

注:構件的計算高度H0可取層兩。
(2)當受壓區高度x≤hf’時,應按寬度為bf’的矩形截面計算;
(3)當受壓區高度x> hf’時,則應考慮腹板的受壓作用,應按下列公式計算:
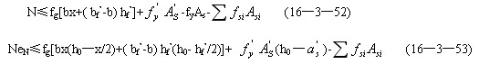
1)大偏心受壓

式中 bf’--T形或倒L形截面受壓區的翼緣計算寬度;
hf’——T形或倒L形截面受壓區的翼緣高度。
2)小偏心受壓

2010結構工程師考試成績查詢匯總 2010年結構工程師考后交流正熱
2011結構工程師考試輔導招生簡章 2011年度結構工程師考試時間確定
編輯推薦
最新資訊
- 2025年一級注冊結構工程師考前實戰試題解析:突破考試瓶頸的終極指南‌2025-10-13
- 2025年一級注冊結構工程師常考知識點2025-02-17
- 2025年二級注冊結構工程師高頻知識點2025-02-17
- 2024年度二級注冊結構工程師專業考試資料:規范、標準、規程2024-08-13
- 2024年度一級注冊結構工程師專業考試資料:規范、標準、規程2024-08-13
- 環球網校雙11預售開啟!定金百倍膨脹,直播再返現金2023-10-25
- 環球網校結構工程師雙11活動來啦,限時優惠!2023-10-25
- 注冊結構工程師考試大綱下載2023-05-16
- 2023年一級注冊結構工程師考試大綱內容2023-04-14
- 2023年結構工程師教材內容變動對比2023-04-10