2006年房地產估價師《經營與管理》真題及答案(完整版)
一、單項選擇題(共35小題,每題1分。每題的備選答案中只有一個最符合題意。)
1.投資者進行房地產投資的主要目的一般是( )。
A.獲取房地產當期收益
B.獲取房地產未來收益
C.直接從事房地產開發經營活動
D.間接參與房地產開發經營活動
2.投資者對房地產內部,使用功能韻變動(例如,在公寓內設置自助洗衣房提供洗衣服務等),體現了投資者對房地產投資( )的重視。
A.各異性
B.適應性
C.相互影響性
D.專業管理依賴性
3.下列關于房地產投資信托基金(REITs)特征的表述中,不正確的是( )。
A.由專業投資管理者負責經營管理
B.收入現金流的重要部分分配給了股東
C.分為權益型和抵押型兩種形式
D.投資流動性好
4.假設銀行一年期存款利率為2.28%,貸款利率為5.85%,投資市場的平均收益率為12%,房地產投資市場的系統性市場風險系數為0.6,則房地產投資的預期收益率為( )。
A.4.42%
B.8.11%
C.8.13%
D.9.54%
5.下列影響房地產市場運行環境的因素中,屬于經濟環境的因素是( )。
A.城市或區域產業結構與布局
B.人口數量與結構
C.土地資源狀況
D.建筑技術進步
6.反映一定時期內房地產價格變動趨勢和程度的相對數為( )。
A.房地產平均價格
B.房地產中位數價格
C.房地產價格指數
D.房地產同質價格
7.隨著社會經濟的發展,房地產價格總體上呈( )波動的趨勢。
A.向下
B.平穩
C.不穩定
D.向上
8.在房地產市場的自然周期中,空置率超過長期平均空置率的階段為( )階段。
A.租金增長率上升
B.新增供給小于新增需求
C.新開工項目增加
D.租金增長率下降
9.可將房地產開發劃分為若干階段,其中編制建設工程招標文件屬于( )的工作。
A.投資機會選擇與決策分析階段
B.前期工作階段
C.建設階段
D.租售階段
10.房地產開發項目的施工許可證由( )向發證機關申請領取。
A.施工單位
B.建設單位
C.監理單位
D.設計單位
11.某開發商所開發的物業質量與市場領導者的物業質量相近,如果定價比市場領導者的定價低,則其采用的是( )。
A.隨行就市定價法
B.價值定價法
C.應戰定價法
D.挑戰定價法
12.對某種特定商品有興趣的消費者的集合是( )。
A.服務市場
B.合格有效市場
C.有效市場
D.潛在市場
13.在房地產銷售量預測中,引用愈來愈近期的銷售量來不斷修改平均值,使之更能反映銷售量增減趨勢和接近實際的預測方法是( )。
A.簡單平均法
B.移動平均法
C.加權移動平均法
D.指數平滑法
14.企業同時向幾個細分市場銷售一種產品時,該企業采用的目標市場選擇模式是( )模式。
A.單一市場集中化
B.產品專業化
C.市場專業化
D.全面覆蓋
15.銀行為某家庭提供年利率為6%、按月等額償還的10年期個人住房抵押貸款。若每月的還款額為2000元,則該家庭在第5年最后一個月的還款額中的本金額是( )元。
A.1428.74
B.1475.37
C.1482.74
D.2000.00
16.銀行為某家庭提供了年利率為6%、按月等比遞增償還、期限為20年的個人住房抵押貸款,若月還款遞增率為0.2%,首期償還額為1600元,則該家庭在第6年最后一個月的還款額是( )元。
A.1843.86
B.1847.55
C.2279.87
D.2291.27
17.某家庭欲購買總價為25萬元的一套住宅。該家庭月收入為6000元,準備用月收入的30%來支付抵押貸款月還款額,已知貸款期限為10年,按月等額償還,年貸款利率為6%。則該家庭的首付款額是( )元。
A.34000.00
B.83265.38
C.87867.78
D.91022.12
18.某家庭申請了25萬元10期住房抵押貸款,年利率為6%。該家庭在按月等額償還4年后于第5年初一次償還了本金6萬元,則從第5年開始該家庭的月還款額減少了( )。
A.994.37
B.1016.81
C.1255.16
D.1387.24
19.下列關于房地產投資分析中成本的表述中,正確的是( )。
A.與財務報表中的成本完全不一樣
B.應根據實際發生費用記錄來確定
C.與財務報表中的成本一樣
D.是對項目未來將要發生的費用的預測和估算
20.某房地產開發項目采用20%的折現率計算出韻項目凈現值為16萬元,該項目的財務內部收益率( )。
A.小于20%
B.滿足目標收益率要求
C.大于20%
D.不滿足目標收益率要求
21.某商業店鋪的購買價格為60萬元,其中40萬元為借貸資金,余款由購買者用現金支付。如該店鋪進入正常經營期后第一年的稅后現金流為24000元、投資者權益增加值為2200元、店鋪市場價值增長率為2%,則考慮物業增值時該店鋪的投資回報率為( )。
A.7.1%
B.12.0%
C.13.1%
D.19.1%
22.某房地產開發項目的占地面積2萬m2,土地總價16000萬元,如果房屋開發成本為3000元/m2,預測銷售價格為8000元/m2,則該項目實現盈虧平衡的容積率為( )。
A.1.4
B.1.5
C.1.6
D.1.8
23.房地產項目盈虧平衡分析中,不包括( )分析。
A.最低租售價格
B.最低租售數量
C.最低利潤水平
D.最高土地取得價格
24.房地產項目風險分析中不能用于風險估計與評價的方法是( )。
A.老師打分法
B.“三項預測值”法
C.解析法
D.蒙特卡洛模擬法
25.對房地產投資項目進行風險分析時,主要是針對可判斷其( )的風險因素。
A、變動可能性
B.影響重要性
C.發生經常性
D.類型歸屬性
26.投資機會研究中的主要內容有地區情況、經濟政策、勞動力狀況、( )等。
A.規劃設計方案
B.投資估算
C.資源條件
D.投資權益
27.在房地產開發項目投資估算中,房屋開發費中不包括( )。
A.建筑安裝工程費
B.公共配套設施建設
C.土地費用
D.基礎設施建設費
28.下列報表中,不屬于房地產開發項目財務報表中基本報表的是( )。
A.資本金現金流量表
B.資金來源與運用表
C.損益表
D.投資計劃與資金籌措表
29.房地產開發項目投資估算時,如為委托銷售代理的,則代理費應列入( )。
A.管理費
B.銷售費用
C.其他費用
D.前期費用
30.現金流量表可以用來進行房地產開發項目的( )分析。
A.財務盈利能力
B.清償能力
C.資金平衡情況
D.營運能力
31.銀行向某家庭發放了一筆月還款額為2000元的個人住房抵押貸款;該家庭所購住房的物業管理費為每月150元。從當前我國商業銀行風險管理的角度來看,該家庭的月均收入應不低于( )元。
A.3583
B.3909
C.4300
D.4778
32.銀行個人住房貸款業務中發生的“假按揭”屬于( )風險。
A.信用
B.管理
C.法律
D.操作
33.新設項目法人的資本金籌措渠道不包括( )資金。
A.政府政策性
B.資產變現
C.企業入股
D.個人入股范圍
34.下列費用中,不屬于物業管理企業經營費用范圍的是( )。
A.保險費
B.房產稅
C.法律費
D.貸款利息
35.某收益性物業的潛在毛租金收入為20萬元,假設在某報告期內的空置率為20%,所有用戶都能按時繳納租金,物業的其他收入為2萬元,則此報告期該物業的有效毛收入為( )萬元。
A.16
B.18
C.20
D.22
二、多項選擇題(共15小題,每題2分。每題的備選答案中有兩個或兩個以上符合題意。全部選對的,得2分;錯選或多選的,不得分;少選且選擇正確的,每個選項得0.5分。)
1.在下列房地產投資行為中,體現房地產置業投資特點的有( )。
A.買地-建房-賣房
B.買房-經營
C.買房-出租-轉售
D.買房-出租
E.買地-開發-轉讓
2.提高貸款利率對房地產市場的影響主要有( )。
A.導致房地產實際價值下降
B.導致房地產實際價值上升
C.加大投資者債務負擔
D.抑制房地產市場需求
E.增加房地產市場需求
3.政府對房地產市場進行宏觀調控時,可選擇的手段主要有( )。
A.加大城市基礎設施建設投入
B.調整銀行貸款利率
C.調整公共住房政策
D.調整房地產稅收政策E.加快城市化進程
4.在對某市房地產市場進行細分時,劃分出“某市甲級寫字樓租賃市場”。這種劃分所采用的市場細分標準有( )。
A.按存量增量細分
B.按交易形式細分
C.按目標市場細分
D.按房地產用途細分
E.按地域細分
5.開發商向城市規劃管理部門申請《建設用地規劃許可證》時,須提供的材料主要有( )。
A.建設工程規劃許可證
B.選址規劃意見通知書
C.項目設計方案的總平面圖
D.城市計劃部門批準征用土地的計劃任務
E.1/2000或1/500的地形圖
6.按照企業采取某些措施和行動后競爭者的不同反應,可以將競爭者劃分為( )。
A.隨機型競爭者
B.兇猛型競爭者
C.選擇型競爭者
D.從容不迫型競爭者
E.軟弱型競爭者7.下列關于基礎利率的表述中,正確的有( )。
A.等于銀行存款利率
B.等于銀行貸款利率
C.是投資者所要求的最低利率
D.是銀行同業之間的短期資金借貸利率
E.一般使用無風險的國債收益率作為其代表
8.下列關于資金時間價值的表述中,正確的有( )。
A.資金時間價值是資金的增值特性使然
B.利率是資金時間價值的一種標志
C.從消費者角度來看,資金時間價值體現為放棄即期消費應得到的補償
D.即使資金存在時間價值,也可以對不同時點上發生的現金流量進行直接比較
E.資金時間價值的大小取決于投資利潤率、通貨膨脹率、風險因素等
9.房地產開發企業的經營成本主要包括( )。
A.土地轉讓成本
B.經營管理費用
C.配套設施銷售成本
D.商品房銷售成本
E.房地產出租經營成本
10.下列經濟評價指標中,屬于房地產投資項目盈利性指標的有( )。
A.投資回收期
B.借款償還期
C.利息備付率
D.財務凈現值
E.現金報酬率
11.利用概率分析中的期望值法進行投資項目風險分析時,下列表述中正確的有( )。
A.項目凈現值期望值大于零,則項目可行
B.凈現值標準差能準確說明項目風險的大小
C.凈現值標準差越小,項目的相對風險就越小
D.凈現值大于等于零時的累積概率越太,項目所承擔的風險就越大
E.掙現值期望值相同時,標準差小的方案為優
12.在編制房地產開發項目策劃方案時,與項目收益相關的基礎參數,通常有( )。
A.基準收益率
B.目標收益率
C.出租率或空置率
D.毛租金收入
E.運營成本
13.房地產開發項目策劃的主要工作內容有( )。
A.開發內容和規模的分析與選擇
B.評價方案構造
C.區位分析與選擇
D.開發時機的分析與選擇
E.融資方式的分析與選擇
14.對零售商業物業進行分類的主要依據有( )。
A.建筑規模
B.經營商品的特點
C.商業輻射區域的范圍
D.周圍環境E.服務人口的收入水平
15.下列房地產開發企業融資方式中,屬于債務融資方式的有( )。
A.發行企業債券
B.向銀行借入信用貸款
C.房地產開發貸款
D.在公開市場上發行股票
E.土地儲備貸款
三、判斷題(共15小題,每題1分。請根據判斷結果,用“√”表衣正確,用“×”表示錯誤。不答不得分,判斷錯誤扣1分,本題總分最多扣至零分。)
1.基本建設投資、更新改造投資和房地產開發投資均屬于固定資產投資。 ( )
2.房地產投資不能有效抵消預期通貨膨脹的影響。( )
3.房地產空間市場的供求關系直接決定了房地產租金的水平。 ( )
4,房地產市場上的投資周期領先于自然周期的變化。( )
5.項目財務評價是房地產投資決策分析中最重要的工作,它往往關系到一個項目的成敗。 ( )
6.一個整體市場能夠細允為若干子市場,主要是由于顧客需求存在著羞異性。( )
7.在現金流量圖上。橫坐標軸上“0”點所表示的只能是資金運動的時間始點,而不是當前時點。 ( )
8.機會成本和沉沒成本不僅運用在投資分析中。也出現在企業財務會計的記錄中。( )
9.估算房地產開發項目的總開發價值和總開發成本時,可依據評估時點的價格水平進行估算。( )
10.在房地產開發項目的前期評估階段,容積率和建筑面積屬于不確定性因素。( )
11.房地產投資項目盈虧平衡分析中,臨界點分析是分析計算一個或多個風險因素變化而使房地產項目達到利潤為零時的極限值,以風險因素的臨界值組合來顯示項目風險程度。 ( )
12.對房地產開發項目進行獨立的財務評價時,資產負債表是必須編制的基本報表。( )
13.功能定位的目的,是為市場提供有較高性能的產品。 ( )
14.債務融資的資金供給方與投資者共同承擔投資風險,所希望獲得的報酬是項目投資所形成的可分配利潤。 ( )
15.收益性房地產投資分析中,抵押貸款還本付息屬于經營費用。( )
四、計算題(共2小題,20分。要求列出算式、計算過程;需按公式計算的,要寫出公式;僅有計算結果而無計算過程的,不得分。計算結果保留小數點后兩位。)
1.某家庭準備以抵押貸款方式購買一套住房。該家庭月總收入7000元,最多能以月總收入的25%支付住房貸款的月還款額。年貸款利率為6%,最長貸款期限20年。最低首付款為房價的30%,若采用按月等額償還方式,問:
(1)該家庭能購買此房的最高總價是多少?
(2)若第5年末銀行貸款利率上調為9%,為保持原月償還額不變。則該家庭需在第6年初一次性提前償還貸款多少元?
(3)如果不提前償還貸款,則需將貸款期限延長多少年?(8分)
2.某房地產開發項目的占地面積為8000m2,土地使用權年期為40年,總建筑面積50000m2,其中服務式公寓35000m2,商務、辦公、餐飲、健身娛樂等服務用房5000m2,地下車位230個(10000m2)。項目建設期為3年,總投資額為35000萬元(不包括貸款利息),其中自有資金占35%,其余投資來源于貸款和預售收入:第一年投入資金9000萬元,全部為自有資金;第二年投入資金13250萬元,其中3250萬元為自有資金;第三年投入資金12750萬元。該項目的住宅與停車位從第二年開始銷售,第二、三、四年的凈銷售收入分別為7750萬元、12600萬元、21650萬元,第四年末全部售完;服務用房在第五年開始出租,出租率為90%,租金為 3000元/m2.年,運營成本為租金收入的20%;服務用房的殘值為20萬元。
假設:投入全部發生在年初,收入發生在年末且可以全部再投入,貸款按年計復利,本息從第四年初開始償還;在整個出租期內,出租率、租金、運營成本均維持不變;該項目的貸款年利率為10%、投資者全部投資和自有資金的目標收益率分別為15%和25%。
在貸款利息最少條件下,求:
(1)該項目的借款計劃和還款計劃。
(2)該項目全部投資內部收益率。
(3)該項目自有資金財務凈現值。(12分)
參考答案
一、單項選擇題
01.B 02.B 03.C 04.B 05.A
06.C 07.D 08.A 09.B 10.B
11.D 12.D 13.B 14.B 15.C
16.A 17.C 18.A 19.A 20.C
21.C 22.C 23.C 24.B 25.A
26.C 27.C 28.D 29.B 30.A
31.C 32.A 33.B 34.D 35.B
二、多項選擇題
1.CD 2.ACD 3.BCD 4.CDB 5.BDE
6.BD 7.ACE 8.ABCE 9.ACDE 10.ADE
11.ABCE 12.BCDE 13.ABCDB 14.ABC 15.BCE
三、判斷題
1.√ 2.× 3.√ 4.× 5.√
6.√ 7.× 8.× 9.√ 10.√
11.√ 12.× 13.× 14.× 15.×
四、計算題
1.(1)月還款額=7000×25%=1750元,月利率=6%/12=0.5%
購買住房最高額=(1750/0.5%)×[1-(1/(1+0.5%)240)]/70%=348951.93
(2)月利率=9%/12=0.75%按6%利率計算第6年年初還剩的貨款總額=1750/0.5%×[1-(1/(1+0.5%)180)]=207381.15
按9%利率計算月還款1750元相當的貨款總額=1750/0.75%×[1-(1/(1+0.5%)180)]=172538.47
則第6年年初需要一次性還款額=207381.15-172538.47=34842.68元
(3)若保持1750的月還款額不變,需要償還的年限為n
34842.68×(1+0.075%)180 =(1750%/0.75%)×[1-(1/(1+0.75%)12n)]=(1+0.075%)12n=1.7973
當n=7時,1.007584=1.8732
當n=6時,1.007572=1.7125
則n=6+1.7973-1.7125/1.8732-1.7125=6.53年
2.自有資金投入總額=35000×35%=12250萬元
第一年初投入9000萬元;
第二年初投入13250萬元,其中3250萬元為自有資金,10000萬元貸款;
第二年末收入7750萬元,全部與第三年初投入,因此第三年初貸款額=12750-7250= 5500萬元;
第三年末收入12600萬元,全部與第四年初用于償還貸款;
第四年末收入21650萬元,足以償還剩余貸款,并有余額;
第五年末開始每年收入3000×90%×5000×(1-20%)=1080萬元租金;
第四十年末,最后一年收入租金后,剩余殘值20萬元。
(1)第四年初償還貸款時,貸款本息合計10000×(1+10%)2+5000×(1+10%)=17600萬元還款12600萬元,仍需償還5000萬元。
第五年初償還剩余貸款5000×(1+10%)=5500萬元
因此借款計劃為第二年初借款10000萬元,第三年初借款5000萬元。
還款計劃為第四年初償還12600萬元,第五年初償還剩余5500萬元。
(2)制作全部投資現金流量表
|
|
0 |
1 |
2 |
3 |
4 |
5 |
6 |
7 |
… |
40 |
|
+ |
|
|
|
12600 |
21650 |
1080 |
1080 |
1080 |
|
1100 |
|
- |
9000 |
13250 |
5000 |
|
|
|
|
|
|
|
|
NPV |
-9000 |
-13250 |
-5000 |
12600 |
21650 |
1080 |
1080 |
1080 |
|
1100 |
當i1=15%時,
當i2=16%時,
i1NPV2=-398.6448用插值法求的FIRR=15.53%
(3)制作自有資金現金流量表
|
|
0 |
1 |
2 |
3 |
4 |
5 |
6 |
7 |
… |
40 |
|
+ |
|
|
|
12600 |
21650 |
1080 |
1080 |
1080 |
|
1100 |
|
- |
9000 |
3250 |
|
12600 |
5500 |
|
|
|
|
|
|
NPV |
-9000 |
-3250 |
0 |
0 |
16150 |
1080 |
1080 |
1080 |
|
1100 |
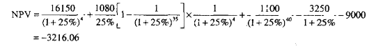
按25%報酬率計算

編輯推薦:
最新資訊
- 2025年房地產估價師四科真題及解析2025-11-13
- 房地產估價師2025年真題及答案更新:四科2025-11-13
- 2025年房地產估價師考試試卷真題及答案(房估實務+土估實務)2025-11-12
- 2025年房地產估價師考試試卷真題答案(4科目全)2025-11-12
- 2025年房地產估價師考試真題與答案解析:各個科目匯總2025-11-12
- 2025年房地產估價師真題答案解析:法規政策2025-11-11
- 2025年房地產估價師考試試卷真題答案解析:房地產估價原理與方法2025-11-11
- 2025房地產估價師真題答案更新:房地產估價基礎與實務2025-11-11
- 2025年房地產估價師真題及答案解析:土地估價基礎與實務2025-11-11
- 有更新!2025年房地產估價師《房地產估價基礎與實務》真題答案解析2025-11-10

