[結構工程師]結構力學考點輔導第一節-40
更新時間:2010-11-25 09:39:40
來源:|0
瀏覽
收藏
結構工程師報名、考試、查分時間 免費短信提醒
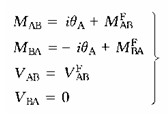
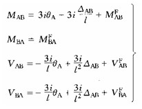
(三)一端固定另一端鉸支的平面等截面直桿(圖4-6b)
(4—9)
(四)一端固定另一端定向(滑動)支座的平面等截面直桿(圖4-6c)
(4—10)
式(4—9)、(4—10)中各符號的意義及正、負號規定均與式(4—8)相同。式(4—8)、(4—9)、(4—10)稱為前述各相應桿件的轉角位移方程,式中含有θA、θB、ΔAB的各項分別代表該項桿端位移引起的桿端彎矩和桿端剪力,其前面的系數稱為桿件的剛度系數,它們只與桿件的長度l、支座形式和抗彎剛度EI有關,又稱為形常數。而固端彎矩、固端剪力則為僅由荷載產生的桿端彎矩、桿端剪力,它們均與荷載有關,幾種常見荷載產生的固端彎矩和固端剪力見表4—1。
等截面直桿的固端彎矩和固端剪力 表4—1

2010結構工程師考試成績查詢匯總 2010年結構工程師考后交流正熱
2011結構工程師考試輔導招生簡章 2011年度結構工程師考試時間確定
編輯推薦
最新資訊
- 2025年一級注冊結構工程師考前實戰試題解析:突破考試瓶頸的終極指南‌2025-10-13
- 2025年一級注冊結構工程師常考知識點2025-02-17
- 2025年二級注冊結構工程師高頻知識點2025-02-17
- 2024年度二級注冊結構工程師專業考試資料:規范、標準、規程2024-08-13
- 2024年度一級注冊結構工程師專業考試資料:規范、標準、規程2024-08-13
- 環球網校雙11預售開啟!定金百倍膨脹,直播再返現金2023-10-25
- 環球網校結構工程師雙11活動來啦,限時優惠!2023-10-25
- 注冊結構工程師考試大綱下載2023-05-16
- 2023年一級注冊結構工程師考試大綱內容2023-04-14
- 2023年結構工程師教材內容變動對比2023-04-10