[結構工程師]結構力學考點輔導第一節-39
更新時間:2010-11-25 09:32:18
來源:|0
瀏覽
收藏
結構工程師報名、考試、查分時間 免費短信提醒
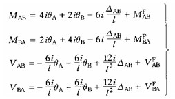
(二)兩端固定的平面等截面直桿(圖4—6a)
(4—8)
式中 i = EI/l稱為線剛度。桿端截面轉角θA、θB、弦轉角β = ΔAB/l,桿端彎矩MAB、MBA,固端彎矩MABF、MBAF均以順時針向轉動為正。桿端剪力QAB、QBA,固端剪力QABF、QBAF均以繞隔離體順時針向轉動為正。圖4—6所示桿端位移、桿端彎矩、桿端剪力的方向均為正號。

圖4-6
2010結構工程師考試成績查詢匯總 2010年結構工程師考后交流正熱
2011結構工程師考試輔導招生簡章 2011年度結構工程師考試時間確定
編輯推薦
最新資訊
- 2025年一級注冊結構工程師考前實戰試題解析:突破考試瓶頸的終極指南‌2025-10-13
- 2025年一級注冊結構工程師常考知識點2025-02-17
- 2025年二級注冊結構工程師高頻知識點2025-02-17
- 2024年度二級注冊結構工程師專業考試資料:規范、標準、規程2024-08-13
- 2024年度一級注冊結構工程師專業考試資料:規范、標準、規程2024-08-13
- 環球網校雙11預售開啟!定金百倍膨脹,直播再返現金2023-10-25
- 環球網校結構工程師雙11活動來啦,限時優惠!2023-10-25
- 注冊結構工程師考試大綱下載2023-05-16
- 2023年一級注冊結構工程師考試大綱內容2023-04-14
- 2023年結構工程師教材內容變動對比2023-04-10