[結構工程師]結構力學考點輔導第一節-37
更新時間:2010-11-25 09:25:42
來源:|0
瀏覽
收藏
結構工程師報名、考試、查分時間 免費短信提醒
四、超靜定結構內力圖的校核
超靜定結構的內力圖必須同時滿足靜力平衡條件和原結構的變形條件。
1.平衡條件校核
根據求得的反力和內力,取整個結構或結構的任一部分為隔離體,校核其是否滿足靜 力平衡條件。
2.變形條件校核
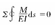
根據已求得的內力計算超靜定結構的位移,校核其是否與原結構的已知位移條件一致。 對于具有無鉸閉合外形的結構,在荷載作用下,校核任一切斷截面兩側的相對轉角時,位移條件的校核公式可簡化為
(4—6)
2010結構工程師考試成績查詢匯總 2010年結構工程師考后交流正熱
2011結構工程師考試輔導招生簡章 2011年度結構工程師考試時間確定
編輯推薦
最新資訊
- 2025年一級注冊結構工程師考前實戰試題解析:突破考試瓶頸的終極指南‌2025-10-13
- 2025年一級注冊結構工程師常考知識點2025-02-17
- 2025年二級注冊結構工程師高頻知識點2025-02-17
- 2024年度二級注冊結構工程師專業考試資料:規范、標準、規程2024-08-13
- 2024年度一級注冊結構工程師專業考試資料:規范、標準、規程2024-08-13
- 環球網校雙11預售開啟!定金百倍膨脹,直播再返現金2023-10-25
- 環球網校結構工程師雙11活動來啦,限時優惠!2023-10-25
- 注冊結構工程師考試大綱下載2023-05-16
- 2023年一級注冊結構工程師考試大綱內容2023-04-14
- 2023年結構工程師教材內容變動對比2023-04-10