[結構工程師]結構力學考點輔導第一節-36
更新時間:2010-11-25 09:22:28
來源:|0
瀏覽
收藏
結構工程師報名、考試、查分時間 免費短信提醒
三、超靜定結構的位移計算
超靜定結構的位移計算仍應用變形體系虛功原理和單位荷載法。在具體計算時,為了 使計算簡便,其虛設狀態(即單位力狀態)可采用原超靜定結構的任一靜定基本結構。位 移計算的一般公式如下。
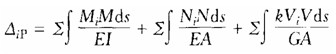
(一)荷載作用引起的位移計算公式
(4—3)
(二)溫度變化引起的位移計算公式
(4—4)
(三)支座位移引起的位移計算公式
(4—5)
上面三式中的Mi、Ni、Vi和Ri為虛設狀態(原超靜定結構的靜定基本結構)的彎矩、軸力、剪力和支座反力;M、N、V、Mt、Nt、Vt、Mc、Nc、Vc分別為原超靜定結構在荷載、溫度變化、支座位移作用下產生的彎矩、軸力、剪力。
與靜定結構一樣,在符合一定的條件時,超靜定結構的位移計算也可采用簡化(實用)計算公式,以及采用圖形相乘法代替積分計算。
2010結構工程師考試成績查詢匯總 2010年結構工程師考后交流正熱
2011結構工程師考試輔導招生簡章 2011年度結構工程師考試時間確定
編輯推薦
最新資訊
- 2025年一級注冊結構工程師考前實戰試題解析:突破考試瓶頸的終極指南‌2025-10-13
- 2025年一級注冊結構工程師常考知識點2025-02-17
- 2025年二級注冊結構工程師高頻知識點2025-02-17
- 2024年度二級注冊結構工程師專業考試資料:規范、標準、規程2024-08-13
- 2024年度一級注冊結構工程師專業考試資料:規范、標準、規程2024-08-13
- 環球網校雙11預售開啟!定金百倍膨脹,直播再返現金2023-10-25
- 環球網校結構工程師雙11活動來啦,限時優惠!2023-10-25
- 注冊結構工程師考試大綱下載2023-05-16
- 2023年一級注冊結構工程師考試大綱內容2023-04-14
- 2023年結構工程師教材內容變動對比2023-04-10