結構工程師-結構模型試驗知識點解析3
更新時間:2010-10-14 15:08:32
來源:|0
瀏覽
收藏
結構工程師報名、考試、查分時間 免費短信提醒
(二)相似第二定理——相似判據的確定
1.方程式分析法
研究現象的各物理量之間的關系可用方程式表達時,則可以用表達這一物理現象的方程式導出相似判據。
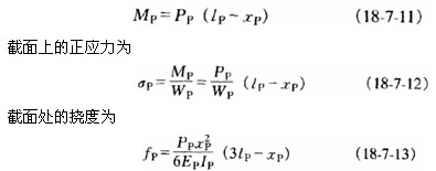
一懸臂梁,在梁端作用一集中荷載P

在x截面處的彎矩為

按照各物理量確定相似常數,如上面推導慣性力相似判據的方法可得下列各相似指標

當表達物理現象函數關系為微分方程式時,求相似判據的步驟是:
①將微分方程中所有微分符號去掉;
②任取其中的一項去除方程式中的其他各項;
③所得的各項即為要求的相似判據。
一單自由度系統在受強迫力作用后其動力平衡微分方程為:

式中,m,c,K,x,t和P(t)分別為質量,阻尼系數,彈簧常數,位移,時間和干擾力。
同樣模型的微分方程為:
![]()
當確定各物理量的相似常數Sm、Sc、Sk、Sx、St和SP并將(18—7—17)式中模型參數用原型參數與相似常數的乘積表示:

由此可得相似判據為:
![]()
上列說明相似判據的形式變換僅與相似常數有關,而微分符號可不予考慮。
2010結構工程師考試成績查詢匯總 2010年結構工程師考后交流正熱
2011結構工程師考試輔導招生簡章 2011年度結構工程師考試時間預測
編輯推薦
最新資訊
- 2025年一級注冊結構工程師考前實戰試題解析:突破考試瓶頸的終極指南‌2025-10-13
- 2025年一級注冊結構工程師常考知識點2025-02-17
- 2025年二級注冊結構工程師高頻知識點2025-02-17
- 2024年度二級注冊結構工程師專業考試資料:規范、標準、規程2024-08-13
- 2024年度一級注冊結構工程師專業考試資料:規范、標準、規程2024-08-13
- 環球網校雙11預售開啟!定金百倍膨脹,直播再返現金2023-10-25
- 環球網校結構工程師雙11活動來啦,限時優惠!2023-10-25
- 注冊結構工程師考試大綱下載2023-05-16
- 2023年一級注冊結構工程師考試大綱內容2023-04-14
- 2023年結構工程師教材內容變動對比2023-04-10