結構工程師-結構非破損檢測技術輔導(7)
更新時間:2010-10-11 09:29:07
來源:|0
瀏覽
收藏
結構工程師報名、考試、查分時間 免費短信提醒
(六)超聲法檢測混凝土缺陷
超聲波檢測混凝土缺陷主要是采用低頻超聲儀,測量超聲脈沖中縱波在結構混凝土中的傳播速度、首波幅度和接收信號主頻率等聲學參數。當結構混凝土中存在缺陷或損傷時,超聲脈沖通過缺陷時產生繞射,傳播的聲速要比相同材質無缺陷混凝土的傳播聲速要小,聲時偏長。更由于在缺陷界面上產生反射,因而能量顯著衰減,波幅和頻率明顯降低,接收信號的波形平緩甚至發生畸變。綜合聲速、波幅和頻率等參數的相對變化,對同條件下的混凝土進行比較,判斷和評定混凝土的缺陷和損傷情況。
1.混凝土裂縫深度檢測
(1)單面平測法
當結構的裂縫部位只有一個可測表面,估計裂縫深度又不大于500mm時,可采用單面平測法。平測時應在裂縫被測部位,以不同測距按跨縫和不跨縫布置測點(布點時應避開鋼筋的影響)進行檢測。如圖18—6—8(a)。

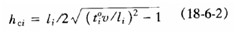
平測法檢測裂縫深度按下式計算:
![]()
式中 hci——第i點計算的裂縫深度(┨);
li—不跨縫平測時第i點的超聲波實際傳播距離(┨);
—第i點跨縫平測的聲時值(μs);
v——不跨縫平測的混凝土聲速值(km/s)。
這時不跨縫平測的混凝土聲速值可由不跨縫平測“時—距”坐標圖(圖18—6—8(b))
求得.
![]()
式中 l’n,l’1—第n點和第1點的測距(┨);
tn、tl——第n點和第1點的聲速值(μs)。
2010結構工程師考試成績查詢匯總 2010年結構工程師考后交流正熱
2011結構工程師考試輔導招生簡章 2011年度結構工程師考試時間預測
編輯推薦
最新資訊
- 2025年一級注冊結構工程師考前實戰試題解析:突破考試瓶頸的終極指南‌2025-10-13
- 2025年一級注冊結構工程師常考知識點2025-02-17
- 2025年二級注冊結構工程師高頻知識點2025-02-17
- 2024年度二級注冊結構工程師專業考試資料:規范、標準、規程2024-08-13
- 2024年度一級注冊結構工程師專業考試資料:規范、標準、規程2024-08-13
- 環球網校雙11預售開啟!定金百倍膨脹,直播再返現金2023-10-25
- 環球網校結構工程師雙11活動來啦,限時優惠!2023-10-25
- 注冊結構工程師考試大綱下載2023-05-16
- 2023年一級注冊結構工程師考試大綱內容2023-04-14
- 2023年結構工程師教材內容變動對比2023-04-10