注冊結構工程師輔導:沿程水頭損失
四、沿程水頭損失
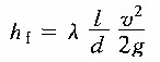
流體作均勻流動時,切應力沿程不變,單位長度的能量損失相等,這種損失稱為沿程水頭損失,它的大小與長度成正比。用hf表示。前面式(6-4-4)[或式(6-4-5)]已說明了切應力與沿程水頭損失的關系。該式不僅適用于層流也同樣適用于紊流。此外對于恒定均勻紊流,邊壁上的切應力可以看作與流速平方成正比,采用下式表示:

式中 λ為沿程阻力系數。但紊流中的λ并不滿足式(6-4—10)的關系。后面將討論紊流中久究竟如何求得。
將式(6—4—17)代入式(6-4-4)再加以整理,又得到與式(6-4-11)同樣的公式:

這里只是λ與前面有所不同。稱為達西公式,是管流的通用公式。
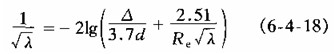
與層流不同的是λ為雷諾數及管壁相對粗糙度Δ/d的函數。Δ為管壁上的粗糙凸起 高度。對于紊流,無法像對圓管中的層流一樣推導出λ,只能依靠實驗研究。最初由尼古 拉茲在實驗室中對人工粗糙管(即管壁均勻地粘上一定粒徑的砂粒的管道)測出λ與Re和Δ/d的變化規律。以后許多人又做了矩形渠道和工業管道的實驗,總結出不少經驗公式。其中考爾布魯克公式

是根據大量工業管道的試驗資料提出的。為了簡化計算,莫迪在此公式基礎上繪成曲線(圖6-4-4)稱莫迪圖。從莫迪圖中可以看到:其中橫坐標和縱坐標都是按對數分格的,稱為雙對數格紙,這樣畫出來的λ-R,曲線圖形即為lgλ一lgRe的曲線圖形。

按圖中曲線可分為五個阻力區,不同區阻力系數的規律不同。
1.層流區:Re≤2300時,各種不同相對粗糙度的管道的沿程阻力系數λ=64/Re。這個結果與前面理論推導完全一致,即且僅與Re有關。
2.臨界區(層流一紊流的過渡區):2300< Re <4000。此區域由于數值不穩定,研究較少,圖中僅用斜線表示。
3.光滑區:圖中表示為左下方的包絡線。在此區內由于粗糙凸出高度被粘性底層所復蓋,對阻力系數λ沒有影響,λ仍僅與Re有關。
4.紊流過渡區:圖中表示為光滑區至虛線之間的區域。隨Re的增大,粘性底層厚度減小,粗糙凸起高度開始發生影響。在該區內λ與Re及Δ/d都有關系。λ=f(Re,Δ/d)。
5.粗糙區(阻力平方區):圖中虛線以右的部分。曲線呈水平線,即λ與Δ/d有 關,與Re沒有關系。因為此時粘性底層已減小到即使Re再增大也不能對流動阻力有什么影響了。
使用莫迪曲線求沿程阻力系數十分簡便,查圖的精度基本上能滿足工程上的需要。圖 中的Δ并非簡單的粗糙凸起高度,而是工業管道的當量粗糙度,常用管材的當量粗糙度見表6-4-1。

2010年注冊結構工程師考試報名時間信息匯總
結構工程師基礎科目(一)考試普通化學練習題匯總
2010年結構師考試9月18、19日
更多信息請訪問:結構工程師頻道 結構工程師論壇
最新資訊
- 2025年一級注冊結構工程師考前實戰試題解析:突破考試瓶頸的終極指南‌2025-10-13
- 2025年一級注冊結構工程師?贾R點2025-02-17
- 2025年二級注冊結構工程師高頻知識點2025-02-17
- 2024年度二級注冊結構工程師專業考試資料:規范、標準、規程2024-08-13
- 2024年度一級注冊結構工程師專業考試資料:規范、標準、規程2024-08-13
- 環球網校雙11預售開啟!定金百倍膨脹,直播再返現金2023-10-25
- 環球網校結構工程師雙11活動來啦,限時優惠!2023-10-25
- 注冊結構工程師考試大綱下載2023-05-16
- 2023年一級注冊結構工程師考試大綱內容2023-04-14
- 2023年結構工程師教材內容變動對比2023-04-10