注冊結構工程師輔導:紊流運動的特征
三、紊流運動的特征
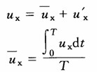
紊流中,流體質點在運動中不斷互相混雜,使各點的流速、壓強等運動要素都隨時間作無規則的變化,這種變化稱為脈動現象。圖6-4—3表示紊流中某點x方向速度ux(隨時間t變化的曲線。同樣也可測出該點uy、uz和p隨時間的變化曲線。看起來這種變化迅速而無規律,使對紊流的研究十分困難。但經深入分析可知,這種脈動是圍繞某一平均值而變化的。這樣,可以將紊流看作兩個流動的疊加。即時間平均流動和脈動的疊加。某點在某一瞬時x方向的速度ux就等于時間平均速度
和該瞬時脈動流速
的代數和。即

同理,可得
![]()
引入時間平均流動的概念后,盡管紊流實質上是極無規則的非恒定流,但只要它的時均值是一常數就可以將它看成恒定流。或者它的時均值隨時間遵循某一規律變化,就可看作是隨時間遵循某一規律變化的非恒定流(如水箱中水無補給時經水箱孔口的出流),而且前面提到的概念如流線、斷面平均流速等等都可以看作是時間平均化后的概念,仍可照常應用。但對于紊流的切應力、紊流擴散等問題的研究卻必須考慮紊流的脈動。
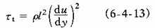
紊流中的切應力除了由于粘性所產生的切應力外,由于質點互相摻混、動量的變換,還存在著紊流的附加切應力,又稱為雷諾應力。
![]()
式中
![]()
為粘性引起的切應力;
τt為紊流附加切應力即雷諾應力。經分析可得
![]()
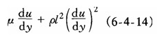
但u’x、u’y等脈動流速難以求出。普蘭特提出半經驗的混合長度理論,推導出:
![]()
才中 l——混合長度。流體質點因橫向脈動流速作用,橫向運動一段距離后,才同周圍 質點進行動量交換。混合長度l即與此距離有關。
du/dy——時均流速梯度。
這樣

當雷諾數較小時,以粘性切應力τy為主,隨Re的增加,紊流附加切應力τt在τ中的分量逐漸增大,至雷諾數相當大時,粘性切應力甚至可以忽略不計。
紊流的流速分布,靠近固體邊界處與核心區域是不同的。緊貼邊界的流體質點流速為零,近邊界處很薄的流層內,速度由零增至一定值,所以在此薄層內速度梯度很大,粘性切應力τy不容忽視。而由于壁面限制附近流體質點做橫向運動,附加切應力τt可以忽略。這一薄層被稱為粘性底層。在粘性底層內流速分布可作為直線分布。粘性底層以外是紊流核心,在紊流核心區域內由于質點相互摻混和動量交換,使斷面上速度趨于平均化,分析和實驗結果說明紊流過水斷面上流速按對數曲線分布,一般公式為
![]()
式中 v*——阻力速度。
β—卡門通用常數,可由實驗確定;
y——離管壁的距離;
c——常數,取決于邊界條件。
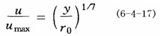
也有人依據實驗資料提出了指數曲線的形式:如
在R=1.1×105s時

式中 r0為圓管半徑;y為至壁面的距離。
粘性底層的厚度隨R。的增大而減小,它雖然很薄,但對能量損失影響很大。
2010年注冊結構工程師考試報名時間信息匯總
結構工程師基礎科目(一)考試普通化學練習題匯總
2010年結構師考試9月18、19日
更多信息請訪問:結構工程師頻道 結構工程師論壇
最新資訊
- 2025年一級注冊結構工程師考前實戰試題解析:突破考試瓶頸的終極指南‌2025-10-13
- 2025年一級注冊結構工程師常考知識點2025-02-17
- 2025年二級注冊結構工程師高頻知識點2025-02-17
- 2024年度二級注冊結構工程師專業考試資料:規范、標準、規程2024-08-13
- 2024年度一級注冊結構工程師專業考試資料:規范、標準、規程2024-08-13
- 環球網校雙11預售開啟!定金百倍膨脹,直播再返現金2023-10-25
- 環球網校結構工程師雙11活動來啦,限時優惠!2023-10-25
- 注冊結構工程師考試大綱下載2023-05-16
- 2023年一級注冊結構工程師考試大綱內容2023-04-14
- 2023年結構工程師教材內容變動對比2023-04-10