注冊結構工程師輔導:均勻流動方程式
更新時間:2010-07-22 09:03:40
來源:|0
瀏覽
收藏
結構工程師報名、考試、查分時間 免費短信提醒
二、圓管中的層流運動
(一)均勻流動方程式

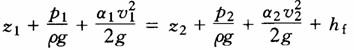
取一段等直徑圓管中的恒定均勻流來討論,見圖6-4-2。均勻流動中的能量損失只有沿程不變的切應力產生的沿程損失,用hf表示。
對1—1和2-2斷面寫能量方程:

因
![]()
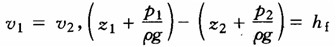
再取1—1和2-2斷面之間的流體寫出動量方程:
![]()
將
![]()
代入上式并整理得

與能量方程聯立,可得

或
![]()
以上是取半徑為r0的流段來討論的,其邊界上的切應力為τo,若取半徑為r的流
段,邊界上的切應力為τ,同上可有
![]()
2010年注冊結構工程師考試報名時間信息匯總
結構工程師基礎科目(一)考試普通化學練習題匯總
2010年結構師考試9月18、19日
更多信息請訪問:結構工程師頻道 結構工程師論壇
編輯推薦
上一篇:注冊結構工程師輔導:雷諾數
最新資訊
- 2025年一級注冊結構工程師考前實戰試題解析:突破考試瓶頸的終極指南‌2025-10-13
- 2025年一級注冊結構工程師常考知識點2025-02-17
- 2025年二級注冊結構工程師高頻知識點2025-02-17
- 2024年度二級注冊結構工程師專業考試資料:規范、標準、規程2024-08-13
- 2024年度一級注冊結構工程師專業考試資料:規范、標準、規程2024-08-13
- 環球網校雙11預售開啟!定金百倍膨脹,直播再返現金2023-10-25
- 環球網校結構工程師雙11活動來啦,限時優惠!2023-10-25
- 注冊結構工程師考試大綱下載2023-05-16
- 2023年一級注冊結構工程師考試大綱內容2023-04-14
- 2023年結構工程師教材內容變動對比2023-04-10