注冊結構工程師輔導:雷諾數
更新時間:2010-07-22 08:47:48
來源:|0
瀏覽
收藏
結構工程師報名、考試、查分時間 免費短信提醒
(二)層流和紊流的判別數——雷諾數
由于層流和紊流水頭損失的規律不同、,在計算水頭損失前,必須判別流態。流態的確定除了與流速的大小有關外,還與管徑和流體的黏性有關。因此采用綜合性的雷諾數Re作為判別流態的無量綱數。
![]()
式中 u、d、ν分別為流速,管徑和流體的運動粘性系數。
實驗證明,由紊流轉變到層流的下臨界雷諾數是相當穩定的Re =2300。而從層流變到紊流的上臨界雷諾數卻與實驗環境的擾動的大小有關,自4000~20,000之間變化,所以取Re=2300作為判別的依據。Re≤2300是層流狀態。Re >2300是紊流狀態。
對于非圓管中的流動,雷諾數計算中特征長度d可以用水力半徑R或當量直徑d當來代替

式中 A——過流斷面面積;
Χ——濕周,指過流斷面上與流體相接觸的那部分固體邊界的長度。
![]()
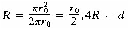
這里,我們是將圓管與非圓管的水力半徑相等的圓管直徑定義為非圓管的當量直徑的。因為對于圓管(滿流時)

對于其他形狀的斷面,若用d當代替d來計算雷諾數,臨界值仍是2300;若用R代替d計算雷諾數,臨界值變為2300/4=575。
2010年注冊結構工程師考試報名時間信息匯總
結構工程師基礎科目(一)考試普通化學練習題匯總
2010年結構師考試9月18、19日
更多信息請訪問:結構工程師頻道 結構工程師論壇
編輯推薦
上一篇:注冊結構工程師輔導:雷諾實驗
最新資訊
- 2025年一級注冊結構工程師考前實戰試題解析:突破考試瓶頸的終極指南‌2025-10-13
- 2025年一級注冊結構工程師常考知識點2025-02-17
- 2025年二級注冊結構工程師高頻知識點2025-02-17
- 2024年度二級注冊結構工程師專業考試資料:規范、標準、規程2024-08-13
- 2024年度一級注冊結構工程師專業考試資料:規范、標準、規程2024-08-13
- 環球網校雙11預售開啟!定金百倍膨脹,直播再返現金2023-10-25
- 環球網校結構工程師雙11活動來啦,限時優惠!2023-10-25
- 注冊結構工程師考試大綱下載2023-05-16
- 2023年一級注冊結構工程師考試大綱內容2023-04-14
- 2023年結構工程師教材內容變動對比2023-04-10