結構工程師輔導:平面應力狀態分析的應力圓法
更新時間:2010-06-30 08:39:15
來源:|0
瀏覽
收藏
結構工程師報名、考試、查分時間 免費短信提醒
一、 平面應力狀態分析的應力圓法
(一)應力圓方程
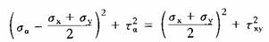
在平面應力狀態σx、σy、τxy下,任意斜截面上的應力σσ與τσ間的關系式為一個圓方程。
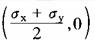
![]()
圓心
![]()
圓半徑
![]()

(二)應力圓作法
若已知一平面應力狀態σx、σy、τxy,則取橫坐標為σ軸、縱坐標為τ軸,選定比例尺; 由(σx,τxy)確定點Dx,(σy,τyx)確定點Dy;連接DxDy交σ軸于C,以C為圓心, 或 為半徑作圓,即得相應于該單元體的應力圓。
(三)應力圓與單元體之間的對應關系

以上對應關系可概括為“點面對應,轉向相同,夾角兩倍”。
2010年注冊結構工程師考試報名時間信息匯總
結構工程師基礎科目(一)考試普通化學練習題匯總
2010年結構師考試9月18、19日
更多信息請訪問:結構工程師頻道 結構工程師論壇
編輯推薦
最新資訊
- 2025年一級注冊結構工程師考前實戰試題解析:突破考試瓶頸的終極指南‌2025-10-13
- 2025年一級注冊結構工程師常考知識點2025-02-17
- 2025年二級注冊結構工程師高頻知識點2025-02-17
- 2024年度二級注冊結構工程師專業考試資料:規范、標準、規程2024-08-13
- 2024年度一級注冊結構工程師專業考試資料:規范、標準、規程2024-08-13
- 環球網校雙11預售開啟!定金百倍膨脹,直播再返現金2023-10-25
- 環球網校結構工程師雙11活動來啦,限時優惠!2023-10-25
- 注冊結構工程師考試大綱下載2023-05-16
- 2023年一級注冊結構工程師考試大綱內容2023-04-14
- 2023年結構工程師教材內容變動對比2023-04-10