結構工程師輔導:平面應力狀態分析的解析法
更新時間:2010-06-30 08:33:41
來源:|0
瀏覽
收藏
結構工程師報名、考試、查分時間 免費短信提醒
一、 平面應力狀態分析的解析法
平面應力狀態通常用單元體中主應力為零的那個主平面的正投影表示如圖5—9—1所示。

(一)任意斜截面成α的應力
若已知一平面應力狀態σx、σy、σxy,則與I軸成。角的斜截面上的應力分量為

式中 正應力σ以拉應力為正;剪應力τ以對單元體產生順時針力矩者為正,α角以逆時 針轉向為正。
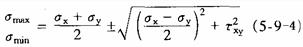
(二)主平面 主應力
主平面的方位角α0
![]()
主應力
![]()
考慮到單元體零應力面上的主應力為零,因此

單元體中互相垂直的兩個截面上的正應力之和為常量,即
![]()
式中 β=α+90°。
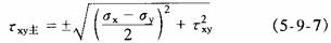
(三)主剪應力及其作用面
作用面方位角α1
![]()
數值
![]()
必須說明:
1.主剪應力τxy主是單元體上垂直于零應力面所有截面上剪應
力的極大值和極小值。并不一定是該點的最大和最小剪應力。
2.主剪應力作用面(主剪面)與主平面成45°角,即
![]()
2010年注冊結構工程師考試報名時間信息匯總
結構工程師基礎科目(一)考試普通化學練習題匯總
2010年結構師考試9月18、19日
更多信息請訪問:結構工程師頻道 結構工程師論壇
編輯推薦
最新資訊
- 2025年一級注冊結構工程師考前實戰試題解析:突破考試瓶頸的終極指南‌2025-10-13
- 2025年一級注冊結構工程師常考知識點2025-02-17
- 2025年二級注冊結構工程師高頻知識點2025-02-17
- 2024年度二級注冊結構工程師專業考試資料:規范、標準、規程2024-08-13
- 2024年度一級注冊結構工程師專業考試資料:規范、標準、規程2024-08-13
- 環球網校雙11預售開啟!定金百倍膨脹,直播再返現金2023-10-25
- 環球網校結構工程師雙11活動來啦,限時優惠!2023-10-25
- 注冊結構工程師考試大綱下載2023-05-16
- 2023年一級注冊結構工程師考試大綱內容2023-04-14
- 2023年結構工程師教材內容變動對比2023-04-10