注冊結構工程師輔導:形心主軸、形心主慣性矩
更新時間:2010-06-25 09:42:37
來源:|0
瀏覽
收藏
結構工程師報名、考試、查分時間 免費短信提醒
一、 形心主軸 形心主慣性矩
主慣性軸 截面圖形對于某一對正交坐標軸的慣性積為零,則這對軸稱為主慣性軸,簡稱主軸。即Iyz=0時,y、z軸即為主軸。
主軸的方位
![]()
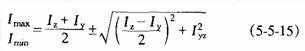
主慣矩 截面圖形對主軸的慣性矩,稱為主慣矩。它是圖形對過同一點的所有坐標軸的慣性矩中的最大值和最小值,其值為

且
![]()
形心主軸 通過圖形形心的一對主軸。
形心主慣性矩 截面圖形對形心主軸的慣性矩。
可以證明:
1.若圖形有一根對稱軸,則此軸即為形心主軸之一,另一形心主軸為通過圖形形心并與對稱軸垂直的軸。
2.若圖形有二根對稱軸,則此二軸即為形心主軸。
3.若圖形有三根以上對稱軸時,則通過形心的任一軸均為形心主軸,且主慣矩相等。
2010年注冊結構工程師考試報名時間信息匯總
結構工程師基礎科目(一)考試普通化學練習題匯總
2010年結構師考試9月18、19日
更多信息請訪問:結構工程師頻道 結構工程師論壇
編輯推薦
最新資訊
- 2025年一級注冊結構工程師考前實戰試題解析:突破考試瓶頸的終極指南‌2025-10-13
- 2025年一級注冊結構工程師常考知識點2025-02-17
- 2025年二級注冊結構工程師高頻知識點2025-02-17
- 2024年度二級注冊結構工程師專業考試資料:規范、標準、規程2024-08-13
- 2024年度一級注冊結構工程師專業考試資料:規范、標準、規程2024-08-13
- 環球網校雙11預售開啟!定金百倍膨脹,直播再返現金2023-10-25
- 環球網校結構工程師雙11活動來啦,限時優惠!2023-10-25
- 注冊結構工程師考試大綱下載2023-05-16
- 2023年一級注冊結構工程師考試大綱內容2023-04-14
- 2023年結構工程師教材內容變動對比2023-04-10