2010注冊結構工程師輔導:平行移軸公式
更新時間:2010-06-25 09:38:08
來源:|0
瀏覽
收藏
結構工程師報名、考試、查分時間 免費短信提醒
一、 平行移軸公式
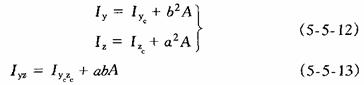
設任意形狀截面圖形的面積為A(圖5—5—4),形心為c,圖形對形心軸yc、zc的軸慣性矩分別為 ,慣性積為 ,則圖形對平行于形心軸的坐標軸y、z的慣性矩和慣性積分別為


運用上述公式時應注意:
1.利用平行移軸公式計算必須從形心軸出發;a、b是形心C在新坐標系y、z中的坐標,所以是有正負的。
2.在所有相互平行的坐標軸中,圖形對形心軸的慣性矩為最小;但圖形對形心軸的慣性積不一定是最小。
2010年注冊結構工程師考試報名時間信息匯總
結構工程師基礎科目(一)考試普通化學練習題匯總
2010年結構師考試9月18、19日
更多信息請訪問:結構工程師頻道 結構工程師論壇
編輯推薦
最新資訊
- 2025年一級注冊結構工程師考前實戰試題解析:突破考試瓶頸的終極指南‌2025-10-13
- 2025年一級注冊結構工程師常考知識點2025-02-17
- 2025年二級注冊結構工程師高頻知識點2025-02-17
- 2024年度二級注冊結構工程師專業考試資料:規范、標準、規程2024-08-13
- 2024年度一級注冊結構工程師專業考試資料:規范、標準、規程2024-08-13
- 環球網校雙11預售開啟!定金百倍膨脹,直播再返現金2023-10-25
- 環球網校結構工程師雙11活動來啦,限時優惠!2023-10-25
- 注冊結構工程師考試大綱下載2023-05-16
- 2023年一級注冊結構工程師考試大綱內容2023-04-14
- 2023年結構工程師教材內容變動對比2023-04-10