環保工程師-顆粒污染物:除塵效率
更新時間:2010-09-02 18:16:41
來源:|0
瀏覽
收藏
環保工程師報名、考試、查分時間 免費短信提醒
3.除塵效率
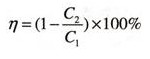
除塵效率是表示除塵器凈化性能的重要技術指標。
(1)除塵器全效率g(%)
除塵器的全效率是指在同一時間內除塵器捕集的粉塵質量占進入除塵器的粉塵質量的百分數,用η表示。根據除塵效率的定義,除塵效率表示式為:

若裝置不漏風,自額進出口狀態相同,Q1=Q2,于是有:

(2)通過率P(%)
通過率是指在同一時間內,穿過除塵器的粒子質量與進入的粒子質量的比,一般用P(%)表示。

(3)分級效率
全效率表示除塵裝置的整體效果或平均效果。凈化裝置對不同粒徑的粉塵的凈化效果,為了表示除塵效率與粉塵粒徑的關系,提出分級效率的概念。
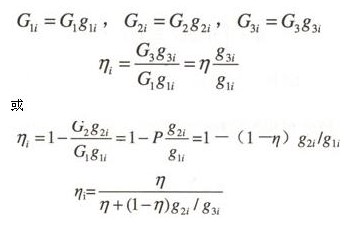
若設除塵器進口、出日和捕集的dpi;顆粒質量流量分別為Gli\G2i和G3i,則該除塵器.顆粒的除塵效率為:

對于分級效率,一個非常重要的值是分級效率ηi=50%,與此值相對應的粒徑稱為除塵的分割粒徑,一般用dc表示。分割粒徑dc在討論除塵器性能時經常用到。
(4)分級效率與全除塵效率之間的關系
①由全效率求分級效率
在除塵器測試中,只要測出除塵器進口和出日的粉塵濃度C1和C2,就可以計算出全除塵效率η。如果需要求出各粒級的分級效率,就必需同時測出除塵器進口、出日和捕集的粉塵質量頻率。由質量頻率定義式和分級效率定義式有。

可以根據實際測定的數據分別選取上面公式,計算分級除塵效率
②由分級效率求全效率
設備設計計算中,常常遇到根據某種除塵器凈化某類粉塵的分級效率數據和某粉塵的粒徑分布數據,計算所設計的除塵器凈化該粉塵所能達到的全效率。
最新資訊
- 2025年注冊環保工程師核心考點【專業知識】2025-10-20
- 2025年注冊環保工程師核心考點【基礎知識】2025-10-17
- 2025年注冊環保工程師重點考點【專業知識】2025-10-16
- 2025年環保工程師基礎考試重點:基礎考試核心考點匯總2025-10-14
- 2025年注冊環保工程師考試知識點:考試常考知識點匯總2025-10-13
- 2025年注冊環保工程師重點筆記:重點內容整理與筆記使用2025-10-11
- 2025年注冊環保工程師考試重點:全科目考試核心重點梳理2025-10-10
- 2025年環保工程師基礎考試知識點:基礎考試涉及知識點2025-10-09
- 2025年注冊環保工程師(專業知識)考點復習2025-09-29
- 2025年注冊環保工程師考試內容:噪聲測量2025-09-27