環保工程師-顆粒污染物:性能指標和分類
更新時間:2010-09-02 18:09:33
來源:|0
瀏覽
收藏
環保工程師報名、考試、查分時間 免費短信提醒
三、粉塵裝置的性能指標(重點)和分類
氣體中固體或液體顆粒的去除是通過除塵器來完成的。除塵器的優劣常采用技術指標和經濟指標來評價。技術指標主要包括含塵氣體處理量、除塵效率和壓力損失等。經濟指標主要包括一次性投資和運行費用。除塵器的技術指標主要表現在以下幾個方面:
1.含塵氣體處理量(重點)
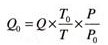
含塵氣體處理量是衡量除塵器處理能力的重要指標,一般用工況體積流量表示除塵器人口風量加上設備漏風量。針對具體行業要參照行業的設計規范。
當工況風量換算成標準狀態下風量時,方法如下:
![]()
式中:QO、TO、Po、一一一標準狀態下的流量(m/S)、溫度(K)、絕對壓力(P。);Q、T、P——工況狀態下的流量(m3/s)、溫度(K)、絕對壓力(Pa)。
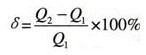
2.漏風率
由于加工或操作的原因,會出現進口氣體量與出口氣體量不同的現象,這是由于漏風造成的,一般用漏風率δ來表示除塵器的嚴密程度。
計算公式如下:

式中:δ——漏風率,%;
QI、Q2------進口氣體量與出口氣體量的流量,m3/S。
下一篇:環保工程師-顆粒污染物:除塵效率
最新資訊
- 2025年注冊環保工程師核心考點【專業知識】2025-10-20
- 2025年注冊環保工程師核心考點【基礎知識】2025-10-17
- 2025年注冊環保工程師重點考點【專業知識】2025-10-16
- 2025年環保工程師基礎考試重點:基礎考試核心考點匯總2025-10-14
- 2025年注冊環保工程師考試知識點:考試?贾R點匯總2025-10-13
- 2025年注冊環保工程師重點筆記:重點內容整理與筆記使用2025-10-11
- 2025年注冊環保工程師考試重點:全科目考試核心重點梳理2025-10-10
- 2025年環保工程師基礎考試知識點:基礎考試涉及知識點2025-10-09
- 2025年注冊環保工程師(專業知識)考點復習2025-09-29
- 2025年注冊環保工程師考試內容:噪聲測量2025-09-27