咨詢工程師決策分析講義:比率性指標與評價方法
四、比率性指標與評價方法
(一)內部收益率(IRR)
1、含義
特例:
若某項目在1年初(零點)投資Ip,以后每年末獲得相等的凈收益R,則內部收益率可由以下兩式表示:
或
分類:
財務內部收益率(FIRR):
經濟內部收益率(EIRR):
經濟含義:
內部收益率指標的經濟含義是項目對占用資金的恢復能力。也可以說內部收益率是指項目對初始投資的償還能力或項目對貸款利率的最大承受能力。
2、判據
若IRR≥ic(或is),則認為項目在經濟上是可以接受的;
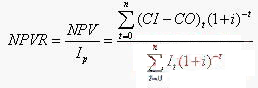
若IRR 注意:由于內部收益率不是用來計算初始投資收益的,所以不能用內部收益率指標作為排列多個獨立項目優劣順序的依據。 3、計算 (1)計算機編程求解 (2)人工試算法: 內插公式為: 式中:r――內部收益率;r1――較低的試算折現率;r2――較高的試算折現率; NPV1――與r1對應的凈現值;NPV2――與r2對應的凈現值。 公式推導:r1――NPV1 r――NPV0=0 r2――NPV2 【例題5】 已知某方案第1年初和第1年末分別投資1000元、800元,第二、三、四年末均獲凈收益500元,第五年末凈收益為1200元。在折現率取值為r1=12%時,NPV1=38.5元;在折現率取值為r2=14%時,NPV2=-60.3元,則項目的內部收益率為( )。 A.11.5% B.12% C.12.78% D.15.66% 【答案】C 4、優缺點 (1)內部收益率指標的優點 ?、倥c凈現值指標一樣,內部收益率指標考慮了資金的時間價值,用于對項目進行動態分析,并考察了項目在整個壽命期內的全部情況。 ?、趦炔渴找媛适莾壬鷽Q定的,與凈現值、凈年值、凈現值率等指標需要事先設定基準折現率才能進行計算比較起來,操作困難小。 注意:我國進行項目經濟評價時往往把內部收益率作為最主要的指標。 (2)內部收益率指標的缺點 ?、賰炔渴找媛手笜擞嬎惴爆?,非常規項目有多解現象,分析、檢驗和判別比較復雜。 ?、趦炔渴找媛蔬m用于獨立方案的經濟評價和可行性判斷,一般不能直接用于獨立方案之間的比較和選優,但可以用于互斥方案之間的優劣排序。 ③內部收益率不適用于只有現金流入或現金流出的項目。 (二)凈現值率(NPVR) 1.定義和計算 式中: 經濟含義:凈現值率表明單位投資的盈利能力或資金的使用效率。 2.判別標準 若NPVR≥0,方案可行,可以考慮接受;若NPVR<0,方案不可行,應予拒絕。 五、經濟評價指標的選擇 經濟評價指標的作用: 一是用于單一項目(方案)投資經濟效益的大小與好壞的衡量,以決定方案的取舍; 二是用于多個項目(方案)的經濟性優劣的比較,以決定項目(方案)的選取。 項目(方案)經濟評價指標的選擇,應根據項目(方案)具體情況、評價的主要目標、指標的用途和決策者最關心的因素等問題來進行。 注意:項目(方案)經濟評價,應盡量考慮一個適當的評價指標體系,從不同的角度衡量項目的經濟效益,避免僅用一兩個指標來作出評價結論。 ?2009年咨詢工程師新版課程上線(09年考試趨勢分析)

?2009年注冊咨詢工程師(投資)考試時間:4月17、18、19日
最新資訊
- 2026年咨詢工程師教材全解析2025-12-03
- 2026年咨詢工程師(投資)職業資格考試大綱2025-09-29
- 提升你的競爭力!獲取2026年注冊咨詢工程師學習材料2025-05-22
- 【福利來襲】環球網校2025年咨詢工程師課程免費兌換!2025-04-28
- 2025年咨詢工程師免兩門應該怎么備考2024-12-11
- 環球網校咨詢工程師雙11活動來襲,立減!2023-10-25
- 雙11預售開啟!強師齊聚,直播返現金福利等你拿2023-10-25
- 2022年咨詢工程師延考備考規劃來啦,速速查看!2022-04-02
- 2022咨詢工程師《項目決策分析與評價》新版教材變化對比2021-12-16
- 2022咨詢工程師《現代咨詢方法與實務》新版教材變化對比2021-12-16