2012年中級財務管理 預習輔導:第三章節(2)
更新時間:2011-07-26 09:11:16
來源:|0
瀏覽
收藏
中級會計職稱報名、考試、查分時間 免費短信提醒
(三)年金的終值與現值
年金是指一定時期內每次等額收付的系列款項,通常記作A。
系列等額收付的間隔期間只需要滿足“相等”調節即可,間隔期完全可以不是一年。
年金按其每次收付款項發生的時點不同,可以分為普通年金、即付年金、遞延年金、永續年金等類型。
①普通年金與即付年金是年金的基本形式,都是從第一期開始發生等額收付,兩者的區別是普通年金發生在期末,即付年金發生在期初
②遞延年金和永續年金是派生出來的年金。遞延年金是從第二期或第二期以后才發生,而永續年金的收付期趨向無窮大。
1.普通年金
普通年金是指從第一期起,在一定時期內每期期末等額收付的系列款項,又稱為后付年金。其形式如下圖:

利用復利將每期年金折到第n年末
F=A+A(1+i)+A(1+i)2+ …+A(1+i)n-1 (1)
將此公式兩邊都乘以(1+i),
F(1+i)=A(1+i)+ A(1+i)2+ …+A(1+i)n (2)
(2)-(1)
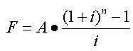
F i= A(1+i)n- A,整理后得

注意:
①式中
稱作"年金終值系數",記作(F/A,i,n)。
②年金終值系數與復利終值系數關系如下:

【例3-5】
小王是位熱心于公眾事業的人,自1995年12月底開始,他每年都要向一位失學兒童捐贈。小王向這位失學兒童每年捐款1000元,幫助這位失學兒童從小學一年級讀完九年義務教育。假設每年定期存款利率都是2%,則小王九年捐款在2003年底相當于多少錢?
分析:
每年年末支付1000元的款項,總計支付了9年,屬于普通年金的形式,已知普通年金,求普通年金終值,利用(F/A,i,n)計算。
編輯推薦
最新資訊
- 中級會計經濟法中關于“年限”(1年、2年、3年、5年等)重要知識點匯總2025-11-17
- 中級會計《經濟法》關于“30日”常考考點匯總2025-11-17
- 中級會計經濟法中關于“1/3”的知識點匯總2025-11-14
- 中級會計經濟法關于“1/2”的知識點匯總2025-11-13
- 2026年中級會計備考已經開始,這份免費資料包你還沒領取?2025-11-13
- 中級會計《經濟法》關于“一致”的知識點匯總2025-11-10
- 2026年中級會計備考還沒開始?這份備考資料包能救命!2025-11-06
- 2026年中級會計備考:中級會計實務哪章最難?如何攻克?2025-10-24
- 2026中級會計《經濟法》各章重要考點與備考指南2025-10-21
- 2026年小白備考中級會計需要準備哪些資料2025-10-19


