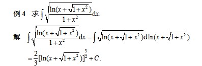
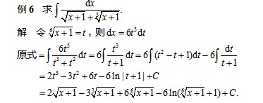
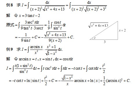
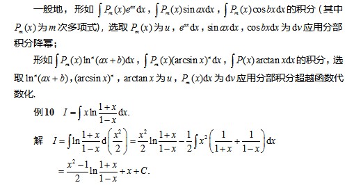
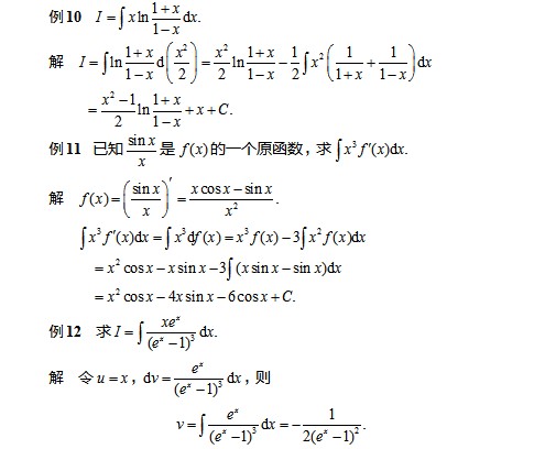
巖土工程師基礎輔導:高等數學部分(16)
更新時間:2013-10-08 10:07:39
來源:|0
瀏覽
收藏
注冊土木工程師(巖土)報名、考試、查分時間 免費短信提醒
摘要 巖土工程師基礎輔導:高等數學部分(16)
編輯推薦
最新資訊
- 2025年注冊土木工程師(巖土)考試《專業知識》科目重點考點2025-10-17
- 2025年注冊土木工程師(巖土)基礎知識考點復習2025-10-17
- 2025年巖土工程師基礎知識點:地面沉降2025-09-10
- 2025年巖土工程師《基礎知識》考點:基坑圍護設計2025-09-01
- 2025年巖土工程師《基礎知識》考點:監測點要求2025-08-22
- 2025年巖土工程師《基礎知識》考點:砌體工程2025-08-11
- 2023年注冊巖土工程師基礎考試資料2024-09-20
- 2024年度全國注冊土木工程師(巖土)專業考試所使用的標準和法律法規2024-08-12
- 注冊巖土工程師備考要趁早 雙11好課限時優惠!直播間更有返現抽獎~2023-10-31
- 雙11預熱火熱進行中!超值好課助力你巖土工程師備考2023-10-31





