巖土師考試輔導:向量代數與空間解析幾何4
更新時間:2013-07-30 10:08:42
來源:|0
瀏覽
收藏
注冊土木工程師(巖土)報名、考試、查分時間 免費短信提醒
摘要 巖土師考試輔導:向量代數與空間解析幾何
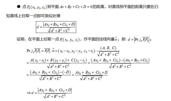
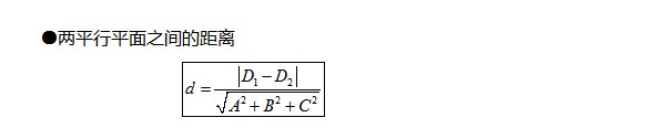
根據考試大綱得知,巖土工程師考試基礎部分――高等數學考點含有:空間解析幾何、微分學、積分學、無窮級數、常微分方程、概率與數理統計、向量分析、線性代數。中華考試網根據網校學員反饋需求整理了相關知識點,本節為學員講述的知識點為向量代數與空間解析幾何――向量代數,具體內容如下:




編輯推薦:
編輯推薦
最新資訊
- 2025年注冊土木工程師(巖土)考試《專業知識》科目重點考點2025-10-17
- 2025年注冊土木工程師(巖土)基礎知識考點復習2025-10-17
- 2025年巖土工程師基礎知識點:地面沉降2025-09-10
- 2025年巖土工程師《基礎知識》考點:基坑圍護設計2025-09-01
- 2025年巖土工程師《基礎知識》考點:監測點要求2025-08-22
- 2025年巖土工程師《基礎知識》考點:砌體工程2025-08-11
- 2023年注冊巖土工程師基礎考試資料2024-09-20
- 2024年度全國注冊土木工程師(巖土)專業考試所使用的標準和法律法規2024-08-12
- 注冊巖土工程師備考要趁早 雙11好課限時優惠!直播間更有返現抽獎~2023-10-31
- 雙11預熱火熱進行中!超值好課助力你巖土工程師備考2023-10-31