巖土工程師輔導:材料的密度、表觀密度與堆積密度
1)密度(俗稱比重)(ρ)定義:密度是指材料在絕對密實狀態下,單位體積的質量。計算式 $lesson$
式中,ρ――密度,g/cm3;
m――材料的質量,g;
V――材料在絕對密實狀態下(不包括任何孔)的體積,cm3。
當測定有孔隙材料的密度時,應把材料磨成細粉,干燥后用李氏瓶測定其體積。
測定密實材料密度時,以塊狀材料為試樣,用排液法測量其體積。
對某些致密材料,如碎石或卵石等,因材料中部分與外部不連通的封閉孔隙無法排除,這時所求得的密度稱為近似密度(ρa)。
2)表觀密度(俗稱容重)(ρo)
定義:表觀密度是指材料在自然狀態下,單位體積的質量。計算式
式中,

ρo――表觀密度,g/cm3或kg/m3;
m――材料的質量,g或kg;
Vo――材料在自然狀態下(包含內部所有的孔隙)的體積,或稱表觀體積,cm3或m3。
當材料孔隙內含水時,其質量和體積均將有所變化。所以?般是指材料在氣干狀態(長期在空氣中干燥)下的表觀密度。在烘干狀態下的表觀密度稱為干表觀密度。
3)堆積密度(ρo′)
定義:堆積密度是指粉狀或粒狀材料在堆積狀態下單位體積的質量。計算式

式中,ρo′――堆積密度,kg/m3;
m――材料的質量,kg;
Vo′――材料的堆積體積(包含材料顆粒體積、顆粒之間的空隙和顆粒與容器壁間空隙),m3。
2.材料的孔隙率、孔隙特征、空隙率
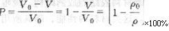
1)孔隙率(P)
定義:孔隙率是指材料體積內,孔隙體積所占的比例。計算式

式中,P――孔隙率(%);
其他符號與前同。
孔隙率反映材料的致密程度。密實度D.
D=1-P
2)孔隙特征(構造)
孔隙的構造,可分為連通孔與封閉孔。連通孔不僅彼此貫通且與外界相通;而封閉孔則不僅彼此不連通且與外界相隔絕。按孔隙尺寸大小又分為極微孔、細孔和大孔。孔隙構造不同,對材料性能影響較大。
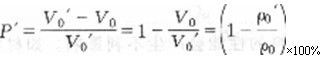
3)空隙率(P′)定義:空隙率是指散粒材料在其堆積體積中,顆粒之間的空隙所占的比例。計算式

空隙率的大小反映了散粒材料的顆粒互相填充的致密程度。可作為控制混凝土骨料級配與計算砂率的依據。填充率(D′)
D′=1-P′
更多內容訪問>> 注冊土木工程師(巖土)考試頻道 注冊土木工程師(巖土)考試論壇 巖土工程師課程試聽
?2011年注冊土木工程師(巖土)考試輔導招生簡章
?巖土工程師輔導現在報名任意專業知識贈送專業知識習題班
?老師輔導每天24小時不限時間隨時反復學習……
最新資訊
- 2025年注冊土木工程師(巖土)考試《專業知識》科目重點考點2025-10-17
- 2025年注冊土木工程師(巖土)基礎知識考點復習2025-10-17
- 2025年巖土工程師基礎知識點:地面沉降2025-09-10
- 2025年巖土工程師《基礎知識》考點:基坑圍護設計2025-09-01
- 2025年巖土工程師《基礎知識》考點:監測點要求2025-08-22
- 2025年巖土工程師《基礎知識》考點:砌體工程2025-08-11
- 2023年注冊巖土工程師基礎考試資料2024-09-20
- 2024年度全國注冊土木工程師(巖土)專業考試所使用的標準和法律法規2024-08-12
- 注冊巖土工程師備考要趁早 雙11好課限時優惠!直播間更有返現抽獎~2023-10-31
- 雙11預熱火熱進行中!超值好課助力你巖土工程師備考2023-10-31