巖土工程師輔導資料:資金成本的涵義
更新時間:2010-11-23 12:54:48
來源:|0
瀏覽
收藏
注冊土木工程師(巖土)報名、考試、查分時間 免費短信提醒
資金成本就是企業因在籌集資金和使用資金時所支付的一定代價。企業可以利用各種方式從多種渠道籌集資金,但不論具體方式如何,企業都要付出一定代價,花費一定的成本,即付出籌資費和使用費。籌資費是指企業在籌集資金過程中發生的各種費用,如委托金融機構代理發行股票、債券而支付的注冊費和代理費等,向銀行借款而支付的手續費等。使用費是指企業因使用資金而向資金提供者支付的報酬,如采用發行股票方式籌集的資金,要向股東們支付利息、紅利;采用發行債券和銀行貸款方式借入的資金,要向債權人支付利息;使用租入的資產,要向出租人支付租金等等。由于在不同情況下籌集資金的總額不同,為了便于比較,資金成本通常以相對數來表示,即用資金成本率來表示。
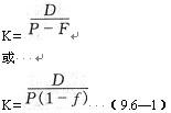
資金成本一般用下式來計算:

式中,K——資金成本率(一般通稱為資金成本);
P——籌集資金總額;
D——使用費;
F——籌資費;
f——籌資費費率,即籌資費占籌集資金總額的比率。
資金成本是市場經濟條件下,企業財務管理中的一個重要概念,它是選擇資金來源、擬定籌資方案的主要依據,是評價投資項目可行性的主要經濟標準,也可作為評價企業財務經營成果的依據。
更多內容訪問>> 注冊土木工程師(巖土)考試頻道 注冊土木工程師(巖土)考試論壇 巖土工程師課程試聽
·2011年注冊土木工程師(巖土)考試輔導招生簡章
·巖土工程師輔導現在報名任意專業知識贈送專業知識習題班
·老師輔導每天24小時不限時間隨時反復學習……
編輯推薦
下一篇:巖土工程師輔導資料:資產負債率
最新資訊
- 2025年注冊土木工程師(巖土)考試《專業知識》科目重點考點2025-10-17
- 2025年注冊土木工程師(巖土)基礎知識考點復習2025-10-17
- 2025年巖土工程師基礎知識點:地面沉降2025-09-10
- 2025年巖土工程師《基礎知識》考點:基坑圍護設計2025-09-01
- 2025年巖土工程師《基礎知識》考點:監測點要求2025-08-22
- 2025年巖土工程師《基礎知識》考點:砌體工程2025-08-11
- 2023年注冊巖土工程師基礎考試資料2024-09-20
- 2024年度全國注冊土木工程師(巖土)專業考試所使用的標準和法律法規2024-08-12
- 注冊巖土工程師備考要趁早 雙11好課限時優惠!直播間更有返現抽獎~2023-10-31
- 雙11預熱火熱進行中!超值好課助力你巖土工程師備考2023-10-31