巖土工程師輔導資料:資金時間價值計算公式
資金時間價值的等值變換包括現值與終值的相互變換、等額年金與現值的相互變換、等額年金與終值的相互變換。資金時間價值的計算方法與復利計息的方法完全相同。
1)現值到終值的等值變換——一次整付本利和公式
圖9.1.3所示為現值向終值的等值變換。即已知P,i,n求F

【解析】根據復利計算原理,每期期末終值為
F1=P+P×i=P(1+i)
F2=Fl+F1×i=F1·(1+i)=P(1+i)2
F3=F2+F2·i=F2(1+i)=P(1+i)3
……………
圖9.1.3一次整付本利和現金流量圖
Fn—l=Fn—2+Fn—2·i=Fn—2(1+i)=P(1+i)n—1
Fn=Fn—1+Fn—1·i=Fn—1(1+i)=P(1+i)n
由此可推導出一次整付本利和公式(或一次支付終值公式)
F=P(1+i)n (9.1—1)
式中,(1十i)n是現值與終值的等值變換系數,稱為整付本利和系數或終值系數,記為(F/P,i,n)。
例9.1.1某人擬將10 000元用于投資,年報酬率為8%。投資第三年年末,可得本利和為
F=P(1+i)n=10000×(1+8%)3=12597(元)
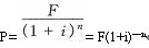
2)終值到現值的等值變換——一次整付現值公式
圖9.1.4所示為由終值到現值的等值變換,即已知F,i,n,求P。根據一次支付終值公式,可得
![]()
9.1—2)
式中,(1+i)—n為現值系數,記為(P/F,i,n)。
把未來時刻資金的價值換算為現在時刻的價值,稱為折現(或貼現)。
更多內容訪問>> 注冊土木工程師(巖土)考試頻道 注冊土木工程師(巖土)考試論壇 巖土工程師課程試聽
·2011年注冊土木工程師(巖土)考試輔導招生簡章
·巖土工程師輔導現在報名任意專業知識贈送專業知識習題班
·老師輔導每天24小時不限時間隨時反復學習……
最新資訊
- 2025年注冊土木工程師(巖土)考試《專業知識》科目重點考點2025-10-17
- 2025年注冊土木工程師(巖土)基礎知識考點復習2025-10-17
- 2025年巖土工程師基礎知識點:地面沉降2025-09-10
- 2025年巖土工程師《基礎知識》考點:基坑圍護設計2025-09-01
- 2025年巖土工程師《基礎知識》考點:監測點要求2025-08-22
- 2025年巖土工程師《基礎知識》考點:砌體工程2025-08-11
- 2023年注冊巖土工程師基礎考試資料2024-09-20
- 2024年度全國注冊土木工程師(巖土)專業考試所使用的標準和法律法規2024-08-12
- 注冊巖土工程師備考要趁早 雙11好課限時優惠!直播間更有返現抽獎~2023-10-31
- 雙11預熱火熱進行中!超值好課助力你巖土工程師備考2023-10-31