2011造價工程師《造價法規》真題解析:單選三
課程推薦:精品VIP―網+面強勢結合 全程領跑套餐―贏在起跑線上
相關推薦:2014年造價工程師在線模考 造價工程師備考指南
2011年注冊造價工程師《工程造價法規及相關知識》真題解析
41.根據《關于實行建設項目法人責任制的暫行規定》,項目總經理的基本職責是( )。
A.籌措工程建設投資
B.組織工程建設實施
C.提出項目開工報告
D.審定債券償還計劃
【答案】B
【試題解析】項目總經理的職權有:組織編制項目初步設計文件,對項目工藝流程、設備選型、建設標準、總圖布置提出意見,提交董事會審查;組織工程設計、施工監理、施工隊伍和設備材料采購的招標工作,編制和確定招標方案、標底和評標標準,評選和確定投、中標單位。實行國際招標的項目,按現行規定辦理;編制并組織實施項目年度投資計劃、用款計劃、建設進度計劃;編制項目財務預、決算;編制并組織實施歸還貸款和其他債務計劃;組織工程建設實施,負責控制工程投資、工期和質量;在項目建設過程中,在批準的概算范圍內對單項工程的設計進行局部調整(凡引起生產性質、能力、產品品種和標準變化的設計調整以及概算調整,需經董事會決定并報原審批單位批準);根據董事會授權處理項目實施中的重大緊急事件,并及時向董事會報告;負責生產準備工作和培訓有關人員;負責組織項目試生產和單項工程預驗收;擬訂生產經營計劃、企業內部機構設置、勞動定員定額方案及工資福利方案;組織項目后評價,提出項目后評價報告;按時向有關部門報送項目建設、生產信息和統計資料;提請董事會聘任或解聘項目高級管理人員。
42.關于Partnering模式的說法,正確的是( )。
A.Partnering協議是業主與承包商之間的協議
B.Partnering模式是一種獨立存在的承發包模式
C.Partnering模式特別強調工程參建各方基層人員的參與
D.Partnering協議不是法律意義上的合同
【答案】D
【試題解析】Partnering模式的主要特征:(1)出于自愿。(2)高層管理的參與。(3)Partnering協議不是法律意義上的合同。(4)信息的開放性。
43.下列工程項目管理組織機構形式中,具有較大的機動性和靈活性,能夠實現集權與分權的最優組合,但因有雙重領導,容易產生扯皮現象的是( )。
A.矩陣制
B.直線職能制
C.直線制
D.職能制
【答案】A
【試題解析】矩陣制組織機構的優點是能根據工程任務的實際情況靈活地組建與之相適應的管理機構,具有較大的機動性和靈活性。它實現了集權與分權的最優結合,有利于調動各類人員的工作積極性,使工程項目管理工作順利地進行。但是,矩陣制組織機構經常變動,穩定型差,尤其是業務人員的工作崗位頻繁調動。此外,矩陣中的每一個成員都受項目經理和職能部門經理的雙重領導,如果處理不當,會造成矛盾,產生扯皮現象。
44.下列進度計劃表中,用來確定年度施工項目的投資額和年末形象進度,并說明建設條件落實情況的是( )。
A.投資計劃年度分配表
B.年度建設資金平衡表
C.年度計劃項目表
D.工程項目進度平衡表
【答案】C
【試題解析】年度計劃項目表。用來確定年度施工項目的投資額和年末形象進度,并闡明建設條件(圖紙、設備、材料、施工力量)的落實情況。
45.下列工程項目目標控制方法組中,控制的原理基本相同,目的也相同的是( )。
A.香蕉曲線法和S曲線法
B.網絡計劃法和香蕉曲線法
C.排列圖法和網絡計劃法
D.S曲線法和排列圖法
【答案】A
【試題解析】香蕉曲線法的原理與S曲線法的原理基本相同,其主要區別在于:香蕉曲線是以工程網絡計劃為基礎繪制的。與S曲線法相同,香蕉曲線同樣可用來控制工程造價和工程進度。
46.建設工程流水施工中,某專業工程隊在一個施工段上的施工時間稱為( )。
A.流水步距
B.流水節拍
C.流水強度
D.流水節奏
【答案】B
【試題解析】流水節拍是指在組織流水施工時,某個專業工作隊在一個施工段上的施工時間。
47.關于建設工程等步距異節奏流水施工特點的說法,正確的是( )。
A.專業工程隊數等于施工過程數
B.流水步距等于流水節拍
C.施工段之間可能存在空閑時間
D.同施工過程各個施工段的流水節拍相等。
【答案】D
【試題解析】成倍節拍(等步距異節奏)流水施工的特點如下:
①同一施工過程在其各個施工段上的流水節拍均相等;不同施工過程的流水節拍不等,但其值為倍數關系;
②相鄰施工過程的流水步距相等,且等于流水節拍的最大公約數(K);
③專業工作隊數大于施工過程數,即有的施工過程只成立一個專業工作隊,而對于流水節拍大的施工過程,可按其倍數增加相應專業工作隊數目;
④各個專業工作隊在施工段上能夠連續作業,施工段之間沒有空閑時間。
48.某分部工程劃分為3個施工過程,4個施工段組織流水施工,流水節拍分別為3、5、4、4天,4、4、3、4天和3、4、2、3天,則流水施工工期( )天。
A.19
B.20
C.21
D.23
【答案】D
【試題解析】(1)求各施工過程流水節拍的累加數列:
施工過程Ⅰ:3,8,12,16
施工過程Ⅱ:4,8,11,15
施工過程Ⅲ:3,7,9,12
(2)錯位相減求得差數列:

(3)在差數列中取最大值求得流水步距:
施工過程Ⅰ與Ⅱ之間的流水步距:
=5(天)
施工過程Ⅱ與Ⅲ之間的流水步距:
(天)
3.流水施工工期的確定
流水施工工期可按公式計算:
=5+6+12=23天。
49.在工程網絡計劃中,關鍵工作是指( )的工作。
A.時間間隔為零
B.自由時差最小
C.總時差最小
D.流水步距為零
【答案】C
【試題解析】總時差最小的工作為關鍵工作。特別地,當網絡計劃的計劃工期等于計算工期時,總時差為零的工作就是關鍵工作。
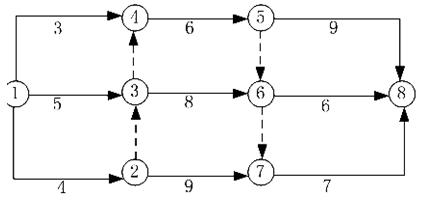
50.某工程雙代號網絡計劃如下圖所示,其中關鍵線路有( )條。
A.4
B.3
C.2
D.1

【答案】C
【試題解析】采用標號法確定關鍵線路有兩條:①→③→⑥→⑦→⑧和①→②→⑦→⑧。
51.在建設工程方案一定的前提下,工程費用會因工期的不同而不同,隨著工期的縮短,工期費用的變化趨勢是( )
A.直接費增加,間接費減少
B.直接費和間接費均增加
C.直接費減少,間接費增加
D.直接費和間接費均減少
【答案】A
【試題解析】如果施工方案一定,工期不同,直接費也不同。直接費會隨著工期的縮短而增加。間接費包括企業經營管理的全部費用,它一般會隨著工期的縮短而減少。
52.下列方法中,可用于建設工程風險分析與評價的是( )
A.頭腦風暴法
B.流樣圖法
C.計劃評審技術法
D.財務報表法
【答案】C
【試題解析】目前,常用的項目風險分析與評價的方法主要有調查打分法、蒙特卡洛模擬法、計劃評審技術法和敏感性分析法等。
53.關于動產所有權轉移的說法,正確的是( )
A.動產不動產均以登記為準
B.動產不動產均以交付為準
C.動產以登記為準,不動產以交付為準
D.動產以交付為準,不動產以登記為準
【答案】D
【試題解析】財產所有權的轉移包括動產所有權的轉移和不動產所有權的轉移。對于動產所有權的轉移,一般以交付為準,不動產(如房地產)所有權的轉移則以登記為準。
54.因施工單位拒付施工機械租金,施工機械租賃單位提起訴訟的,其訴訟時效期限為( )年。
A.1
B.2
C.4
D.5
【答案】A
【試題解析】我國《民法通則》規定,向人民法院請求保護民事權利的訴訟時效期間為2年。
對于下列訴訟,其時效期間為1年:
(1)身體受到傷害要求賠償的;
(2)出售質量不合格的商品未聲明的;
(3)延付或者拒付租金的;
(4)寄存財產被丟失或者損毀的。
55.根據《合同法》,下列關于承諾的說法,正確的是( )。
A.發由后的承諾通知不得撤回
B.承諾通知到達要約人時生效
C.超過承諾期限發出的承諾視為新要約
D.承諾的內容可以與要約的內容不一至
【答案】B
【試題解析】承諾通知可以撤回;承諾通知到達要約人時生效;受要約人超過承諾期限發出承諾的,除要約人及時通知受要約人該承諾有效的以外,為新要約;承諾的內容應當與要約的內容一致。
56.根據《合同法》,下列各類合同中,屬于可變更或可撤銷合同的是( )
A.以合同形式掩蓋非法目的的合同
B.損害社會公共利益的合同
C.一方以脅迫手段訂立的合同
D.惡意串通損害集體利益的合同
【答案】C
【試題解析】當事人一方有權請求人民法院或者仲裁機構變更或者撤銷的合同有:
(1)因重大誤解訂立的;
(2)在訂立合同時顯失公平的。
一方以欺詐、脅迫的手段或者乘人之危,使對方在違背真實意思的情況下訂立的合同,受損害方有權請求人民法院或者仲裁機構變更或者撤銷。
57.根據《招標投標法》,下列關于招標投票的說法,正確的是( )
A.招標分為公開招標、邀請招標和議標三種方式
B.聯合體中標后,聯合體各方應分別與招標人簽訂合同
C.招標人不得修改已發出的招標文件
D.投標文件應當對招標文件提出的實質性要求和條件作出響應
【答案】D
【試題解析】招標分為公開招標、邀請招標兩種方式;聯合體各方應當簽訂共同投標協議,明確約定各方擬承擔的工作和責任,并將共同投標協議連同投標文件一并提交給招標人。聯合體中標的,聯合體各方應當共同與招標人簽訂合同,就中標項目向招標人承擔連帶責任。招標人對已發出的招標文件進行必要的澄清或者修改的,應當在招標文件要求提交投標文件截止時間至少15日前,以書面形式通知所有招標文件收受人。該澄清或者修改的內容為招標文件的組成部分。投標人應當按照招標文件的要求編制投標文件。投標文件應當對招標文件提出的實質性要求和條件作出響應。
58.根據《政府采購法》,可采用競爭性談判方式進行貨物或服務政府采購的情形是( )
A.只能從唯一供應商處采購
B.不能事先計算出價格總額
C.采用招標方式花費的成本較大
D.貨源充足且價格變化幅度小
【答案】B
【試題解析】符合下列情形之一的貨物或服務,可采用競爭性談判方式采購:
(1)招標后沒有供應商投標或沒有合格標的或重新招標未能成立;
(2)技術復雜或性質特殊,不能確定詳細規格或具體要求;
(3)采用招標所需時間不能滿足用戶緊急需要;
(4)不能事先計算出價格總額。
59.根據《土地管理法》,征收耕地時,每一個需要安置的農村人口的安置補助費為該耕地被征收前3年平均年產值的( )倍
A.4-6
B.5-8
C.6-10
D.10-15
【答案】A
【試題解析】根據《土地管理法》,每一個需要安置的農業人口的安置補助費標準,為該耕地被征收前3年平均年產值的4至6倍。但是,每公頃被征收耕地的安置補助費,最高不得超過被征收前3年平均年產值的15倍。
60.除人壽保險外,其他保險的被保險人或受益人,對保險人請求賠償或者給付保險金的權利.自其知道保險事故發生之日起( )年不行使而清滅
A.5
B.3
C.2
D.1
【答案】C
【試題解析】人壽保險的被保險人或者受益人對保險人請求給付保險金的權利,自其知道保險事故發生之日起5年不行使而消滅;其他保險的被保險人或者受益人,對保險人請求賠償或者給付保險金的權利,自其知道保險事故發生之日起2年不行使而消滅。
環球網校友情提示:如果您在此過程中遇到任何疑問,請登錄環球網校造價工程師考試頻道及論壇,隨時與廣大考生朋友們一起交流!
更多造價工程師信息:
編輯推薦:
最新資訊
- 更新版:2025年一級造價師案例考試真題及答案(1-3題)2025-10-27
- 速領!2025年一級造價師各科目考試真題及答案【完整版】2025-10-26
- 2025年一級造價師《案例分析》真題解析(試題三)2025-10-25
- 2025年一級造價師《安裝計量》真題答案61-70題2025-10-23
- 2025年一級造價師《安裝計量》真題答案41-50題2025-10-23
- 2025年一級造價師《安裝計量》真題及答案31-40題2025-10-23
- 2025年一級造價師《安裝計量》真題答案21-30題2025-10-23
- 2025年一級造價師《案例分析》考試真題及答案(試題一)2025-10-23
- 2025年一級造價師案例真題及答案試題五(土建專業)2025-10-22
- 2025年一級造價師《土建計量》考試真題答案51-60題2025-10-22