09年工程造價的計價與控制新舊大綱及教材對比(第一章)
更新時間:2009-10-19 15:27:29
來源:|0
瀏覽
收藏
一級造價工程師報名、考試、查分時間 免費短信提醒
|
2006版考試大綱 |
2009版考試大綱 |
比較說明 |
|
一、工程造價構成
(一)熟悉建設工程造價的構成;
(二)掌握設備及工器具購置費、建筑安裝工程費和工程建設其他費構成與計算;
(三)掌握預備費、固定資產投資方向調節稅、建設期貸款利息、流動資金的內容;
(四)了解世界銀行建設項目費用構成和國外建筑安裝工程費的構成。 |
一、工程造價構成
(一)熟悉建設工程造價的構成;
(二)掌握設備及工器具購置費、建筑安裝工程費和工程建設其他費構成與計算;
(三)掌握預備費、建設期貸款利息的計算;
(四)了解世界銀行建設項目費用構成和國外建筑安裝工程費的構成。 |
刪除了對于固定資產投資方向調節稅和流動資金的要求。 |
教材修訂:
1. 我國現行建設項目總投資構成,修訂依據:方法與參數三
2. 建筑安裝工程費中措施費的構成和計算。修訂依據:08版清單計價規范以及建筑工程安全防護、文明施工措施費用及使用管理規定
3. 與項目建設有關的其他費用。修訂依據:建設項目投資估算編審規程
二、09版教材與06版教材結構上的變化
圖1 09版第一章與06版第一章結構上的對比
由以上兩圖比較可以看出,本章第五節結構變動較大,第六節結構有較小變動。
三、09版教材與06版教材內容上的變化(以09版教材為基準)
表1 09版第一章與06版第一章內容上的對比
|
節 |
知識點 |
06版 |
09版 |
依據/變化 | |||||
|
一 |
概述 |
我國現行建設項目投資構成和工程造價的構成 |
1.無
|
1.生產性建設項目總投資包括建設投資、建設期利息和流動資金三部分;非生產性建設項目總投資包括建設投資和建設期利息兩部分。 |
按照《建設項目經濟評價方法與參數(第三版)》
新教材中工程造價構成發生了變化:建設投資與建設期利息兩部分構成;建設成本是工程造價的主體部分包括工程費用、工程建設的其他費用、預備費三部分 | ||||
|
2. 固定資產投資的構成主要劃分為設備及工、器具購置費用,建筑安裝工程費用,工程建設其他費用,預備費,建設期貸款利息,固定資產投資方向調節稅等幾項 |
2.建設投資和建設期利息之和對應于固定資產投資;建設投資包括工程費用、工程建設其他費用和預備費三部分。 | ||||||||
|
世界銀行工程造價的構成 |
無變化 | ||||||||
|
二 |
設備及工、器具購置費用的構成 |
設備購置費的構成及計算 |
1.進口設備的交貨類別的詳細介紹:內陸交貨類、目的地交貨類、裝運港交貨類。
|
1.裝運港交貨類里三種交易價格:FOB、CFR和CIF |
新教材刪除了內陸交貨類、目的地交貨類的交貨方式,新介紹FOB、CFR和CIF三種方式
刪除了海關監管手續費 | ||||
|
2. 進口設備抵岸價=貨價+國際運費+運輸保險費+銀行財務費+外貿手續費+關稅+增值稅+消費稅+海關監管手續費+車輛購置附加費 |
2. 進口設備抵岸價=進口設備到岸價(CIF)+進口從屬費=貨價+國際運費+運輸保險費+銀行財務費+外貿手續費+關稅+進口環節增值稅+消費稅+車輛購置稅 | ||||||||
|
工具、器具及生產家具購置費的構成及計算 |
無變化 | ||||||||
|
三 |
建筑安裝工程費用構成 |
建筑安裝工程費用內容及構成概述 |
無變化 |
《建筑安裝工程費用項目組成》、《建設工程工程量清單計價規范》(GB50500-2008)以及《建筑工程安全防護、文明施工措施費用及使用管理規定》(建辦[2005]89號)的規定新教材中通用措施項目內容有變化;
混凝土、鋼筋混凝土模板及支架費被列為建筑工程的專業措施項目;腳手架費被列為建筑工程、裝飾裝修工程和市政工程的專業措施項目;刪除規費中工程定額測定費
| |||||
|
直接費 |
1.包括:二環夜臨大水,支架已安穩(文)
二次搬運費,環境保護費,夜間施工增加費,臨時設施費,大型機械設備進出場及安拆費,施工排水、降水費,混凝土、鋼筋混凝土模板及支架費,腳手架費,已完工程及設備保護費,安全施工費,文明施工費 |
1.安全、文明施工費(環境保護費、文明施工費、安全施工費、臨時設施費),夜間施工增加費,二次搬運費,冬雨季施工增加費,大型機械設備進出場及安拆費,施工排水費,施工降水費,地上、地下設施、建筑物的臨時保護設施費,已完工程及設備保護費,專業措施項目 | |||||||
|
間接費 |
規費包括:工程排污費、社會保障費、住房公積金、危險作業意外傷害保險、 | ||||||||
|
利潤及稅金 |
無變化 | ||||||||
|
國外建筑安裝工程費用的構成 |
無變化 |
| |||||||
|
四 |
工程建設其他費用組成 |
固定資產其他費用 |
土地使用費:土地征用及遷移補償費、土地使用權出讓金
與項目建設有關的其他費用:建設單位管理費、勘察設計費、研究實驗費、建設單位臨時設施費、工程監理費、工程保險費、引進技術和進口設備其他費用、工程承包費
與未來企業生產經營有關的其他費用:聯合試運轉費、生產準備費、辦公和生活家具購置費 |
固定資產其他費用:建設管理費(包括建設單位管理費、工程監理費),建設用地費(包括:土地征用及遷移補償費、土地使用權出讓金),可行性研究費,研究試驗費,勘察設計費,環境影響評價費,勞動安全衛生評價費,場地準備及臨時設施費,引進技術和引進設備其他費,工程保險費,聯合試運轉費,特殊設備安全監督檢驗費,市政公用設施費
無形資產費用:主要是指專利及專有技術使用費
其他資產費用:主要包括生產準備及開辦費 |
按照建設項目方法與參數三/市政工程投資估算編制辦法(建標[2007]164號)等文件修訂了工程建設其他費用內容
| ||||
|
無形資產費用 |
無變化 | ||||||||
|
其他資產費用 |
無變化 | ||||||||
|
五 |
預備費、建設期利息、固定資產投資方向調節稅 |
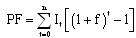
預備費 |
計算公式為:
![]() |
計算公式為:
![]() M建設前期年限;采用復利方式計算 |
中國建設工程造價管理協會標準“建設項目投資估算編審規程”CECA/GC1-2007
| ||||
|
建設期利息 |
計算公式無變化
|
| |||||||
|
固定資產投資方向調節稅(已刪除)
|
刪除(第一節中說明“目前已暫停征收”) | ||||||||
更多信息請訪問>> 造價工程師考試頻道 造價工程師考試論壇 造價工程師輔導課程免費試聽
編輯推薦
最新資訊
- 備考必看:一級造價師《安裝計量》十大核心知識點總結2025-11-02
- 速看!一級造價師《土建計量》十大核心考點總結2025-11-01
- 免費分享:一級造價師《工程計價》十大核心考點總結2025-10-31
- 一鍵收藏:一級造價師《造價管理》十大核心考點總結2025-10-30
- 免費分享:2025年一級造價師《工程計價》考點匯總2025-10-29
- 2025年一級造價師《工程計價》考試難度及考點分析2025-10-28
- 免費分享:2025年一級造價師《造價管理》考點匯總2025-10-27
- 免費分享:2025年一級造價師案例分析重要考點匯總2025-10-27
- 2025年一級造價師《造價管理》重點考查內容2025-10-24
- 深度解析:2025年一級造價師案例考試難度及考察重點2025-10-23


