一級建造師《項目管理》復習題集第三章第三節
【摘要】環球網校一級建造師考試頻道為方便各位一級建造師考生更好的備考2015年一級建造師考試,特地整理一級建造師考試相關練習題,并附解析與參考答案,本文為一級建造師《項目管理》復習題集第三章第三節,希望各位一級建造師考生通過自測練習題提高自己。更多試題和資料敬請關注環球網校一級建造師考試頻道,您可以按【ctrl鍵+D】手動收藏此頁面。
點擊查看>>>2014年一級建造師《項目管理》教材下載第一章
1 Z 2 0 3 0 3 0 建設工程項目進度計劃的編制和調整方法
復習要點
1.橫道圖進度計劃的編制方法
橫道圖是一種最簡單、運用最廣泛的傳統的進度計劃方法,盡管有許多新的計劃技術,橫道圖在建設領域中的應用仍非常普遍。
橫道圖用于小型項目或大型項目的子項目上,或用于計算資源需要量和概要預示進度,也可用于其他計劃技術的表示結果。
橫道圖進度計劃表中的進度線(橫道)與時間坐標相對應,這種表達方式較直觀,易看懂計劃編制的意圖。但是,橫道圖進度計劃法也存在一些問題,如:
(1)工序(工作)之間的邏輯關系可以設法表達,但不易表達清楚;
(2)適用于手工編制計劃;
(3)沒有通過嚴謹的進度計劃時間參數計算,不能確定計劃的關鍵工作、關鍵路線與時差;
(4)計劃調整只能用手工方式進行,其工作量較大;
(5)難以適應大的進度計劃系統。
2.工程網絡計劃的編制方法
國際上,工程網絡計劃有許多名稱,如CPM、PERT、CPA、MPM等。工程網絡計劃的類型可按工作持續時間的特點劃分,也可按工作和事件在網絡圖中的表示方法劃分,還可按計劃平面的個數劃分。
我國《工程網絡計劃技術規程》JGJ/T 121--99推薦的常用工程網絡計劃類型包括:雙代號網絡計劃;單代號網絡計劃;雙代號時標網絡計劃;單代號搭接網絡計劃。
雙代號網絡圖是以箭線及其兩端節點的編號表示工作的網絡圖。單代號網絡圖是以節點及其編號表示工作,以箭線表示工作之間邏輯關系的網絡圖。雙代號時標網絡計劃是以時間坐標為尺度編制的網絡計劃。雙代號時標網絡計劃中以實箭線表示工作,以虛箭線表示虛工作,以波形線表示工作的自由時差。單代號網絡搭接計劃是前后工作之間有多種邏輯關系的肯定型網絡計劃,其前后工作之間的多種邏輯關系包括:STS、FTF,STF、FTS等時距。
(1)雙代號網絡計劃
雙代號網絡圖是以箭線及其兩端節點的編號表示工作的網絡圖。
1)箭線(工作)
工作是泛指一項需要消耗人力、物力和時間的具體活動過程,也稱工序、活動、作業。雙代號網絡圖中,每一條箭線表示一項工作。箭線的箭尾節點i表示該工作的開始,箭線的箭頭節點歹表示該工作的完成。
在雙代號網絡圖中,任意一條實箭線都要占用時間,并多數要消耗資源。在建設工程中,一條箭線表示項目中的一個施工過程,它可以是一道工序、一個分項工程、一個分部工程或一個單位工程,其粗細程度和工作范圍的劃分根據計劃任務的需要確定。
在雙代號網絡圖中,為了正確地表達圖中工作之間的邏輯關系,往往需要應用虛箭線。虛箭線是實際工作中并不存在的一項虛設工作,故它們既不占用時間,也不消耗資源,一般起著工作之間的聯系、區分和斷路三個作用。
2)節點(又稱結點、事件)
節點是網絡圖中箭線之間的連接點。在時間上節點表示指向某節點的工作全部完成后該節點后面的工作才能開始的瞬間,它反映前后工作的交接點。網絡圖中有三個類型的節點:起點節點、終點節點和中間節點。
3)線路
網絡圖中從起始節點開始,沿箭頭方向順序通過一系列箭線與節點,最后達到終點節點的通路稱為線路。在一個網絡圖中可能有很多條線路,線路中各項工作持續時間之和就是該線路的長度,即線路所需要的時間。
在各條線路中,有一條或幾條線路的總時間最長,稱為關鍵路線,一般用雙線或粗線標注。其他線路長度均小于關鍵線路,稱為非關鍵線路。
4)邏輯關系
網絡圖中工作之間相互制約或相互依賴的關系稱為邏輯關系,它包括工藝關系和組織關系,在網絡中均應表現為工作之間的先后順序。
生產性工作之間由工藝過程決定的,非生產性工作之間由工作程序決定的先后順序稱為工藝關系。工作之間由于組織安排需要或資源(人力、材料、機械設備和資金等)調配需要而確定的先后順序關系稱為組織關系。
網絡圖必須正確地表達整個工程或任務的工藝流程和各工作開展的先后順序,以及它們之間相互依賴和相互制約的邏輯關系。因此,繪制網絡圖時必須遵循一定的基本規則和要求。
雙代號網絡圖的繪圖規則:
①雙代號網絡圖必須正確表達已確定的邏輯關系。
②雙代號網絡圖中,不允許出現循環回路。
③雙代號網絡圖中,在節點之間不能出現帶雙向箭頭或無箭頭的連線。
④雙代號網絡圖中,不能出現沒有箭頭節點或沒有箭尾節點的箭線。
⑤雙代號網絡圖的某些節點有多條外向箭線或多條內向箭線時,為使圖形簡潔,可使用母線法繪制(但應滿足一項工作用一條箭線和相應的一對節點表示)。
⑥繪制網絡圖時,箭線不宜交叉。
⑦雙代號網絡圖中應只有一個起點節點和一個終點節點(多目標網絡計劃除外),而其他所有節點均應是中間節點。
⑧雙代號網絡圖應條理清楚,布局合理。
(2)雙代號時標網絡計劃
雙代號時標網絡計劃是以時間坐標為尺度編制的網絡計劃。時標網絡計劃中應以實箭線表示工作,以虛箭線表示虛工作,以波形線表示工作的自由時差。
雙代號時標網絡計劃的一般規定:
1)雙代號時標網絡計劃必須以水平時間坐標為尺度表示工作時間。時標的時間單位往往應根據需要在編制網絡計劃之前確定,可為時、天、周、月或季。
2)時標網絡計劃中所有工作在時間坐標上的水平投影位置,都必須與其時間參數相對應。節點中心必須對準相應的時標位置。
3)時標網絡計劃中虛工作必須以垂直方向的虛箭線表示。有自由時差時加波形線表示。
(3)單代號網絡計劃
單代號網絡圖是以節點及其編號表示工作,以箭線表示工作之間邏輯關系的網絡圖,并在節點中加注工作代號、名稱和持續時間,以形成單代號網絡計劃。
單代號網絡圖與雙代號網絡圖相比,具有以下特點:
1)工作之間的邏輯關系容易表達,且不用虛箭線,故繪圖較簡單;
2)網絡圖便于檢查和修改;
3)由于工作持續時間表示在節點之中,沒有長度,故不夠直觀;
4)表示工作之間邏輯關系的箭線可能產生較多的縱橫交叉現象。
單代號網絡圖的繪圖規則:
1)單代號網絡圖必須正確表達已確定的邏輯關系。
2)單代號網絡圖中,不允許出現循環回路。
3)單代號網絡圖中,不能出現雙向箭頭或無箭頭的連線。
4)單代號網絡圖中,不能出現沒有箭尾節點的箭線和沒有箭頭節點的箭線。
5)繪制網絡圖時,箭線不宜交叉,當交叉不可避免時,可采用過橋法或指向法繪制。
6)單代號網絡圖中只應有一個起點節點和一個終點節點。當網絡圖中有多項起點節點或多項終點節點時,應在網絡圖的兩端分別設置一項虛工作,作為該網絡圖的起點節點(St)和終點節點(Fin)。

環球網校友情提示:如果您在此過程中遇到任何疑問,請登錄環球網校一級建造師頻道及考試論壇,隨時與廣大考生朋友們一起交流!
編輯推薦:
交流互動:一建微博|微信edu24ol_jzs1|QQ群342289995
(4)單代號搭接網絡計劃
在普通雙代號和單代號網絡計劃中,各項工作按依次順序進行,即任何一項工作都必須在它的緊前工作全部完成后才能開始。但在實際工作中,為了縮短工期,許多工作可采用平行搭接的方式進行。為了簡單直接地表達這種搭接關系,使編制網絡計劃得以簡化,于是出現了搭接網絡計劃方法。
代號搭接網絡計劃中的搭接關系:
1)完成到開始時距(FTSi,j):緊前工作主的完成時間與緊后工作歹的開始時間之間的時距和連接方法。
2)完成到完成時距(FTFi,j):緊前工作主的完成時間與緊后工作歹的完成時間之間的時距和連接方法。
3)開始到開始時距(STSi,j):緊前工作主的開始時間與緊后工作歹的開始時間之間的時距和連接方法。
4)開始到完成時距(STFi,j):緊前工作主的開始時間與緊后工作歹的結束時間之間的時距和連接方法。
5)混合時距:在搭接網絡計劃中,兩項工作之間可同時由四種基本連接關系中兩種以上來限制工作間的邏輯關系。
3.工程網絡計劃有關時間參數的計算
(1)雙代號網絡計劃時間參數的計算步驟
1)最早開始時間和最早完成時間的計算
工作最早時間參數受到緊前工作的約束,故其計算順序應從起點節點開始,順著箭線方向依次逐項計算。
以網絡計劃的起點節點為開始節點的工作最早開始時間為零。
最早完成時間等于最早開始時間加上其持續時間。
最早開始時間等于各緊前工作的最早完成時間EFh-,的最大值
2)確定計算工期
計算工期等于以網絡計劃的終點節點為箭頭節點的各個工作的最早完成時間的最大值。
3)最遲開始時間和最遲完成時間的計算
工作最遲時間參數受到緊后工作的約束,故其計算順序應從終點節點起,逆著箭線方向依次逐項計算。
以網絡計劃的終點節點(j=n)為箭頭節點的工作的最遲完成時間等于計劃工期。
最遲開始時間等于最遲完成時間減去其持續時間。
最遲完成時間等于各緊后工作的最遲開始時間LSj-k是的最小值.
網絡計劃的計劃工期Tp應按下列情況分別確定:
當已規定了要求工期Tr時,
Tp≤Tr
當未規定要求工期時,可令計劃工期等于計算工期,
Tp=Tc
4)計算總時差
總時差等于其最遲開始時間減去最早開始時間,或等于最遲完成時間減去最早完成時間。
5)計算自由時差
自由時差等于其緊后工作最早開始時間的最小值減去本工作的最早完成時間。
以網絡計劃的終點節點(j=n)為箭頭節點的工作,其自由時差等于計劃工期Tp減去本工作的最早完成時間。
6)關鍵工作和關鍵線路的確定
網絡計劃中總時差最小的工作是關鍵工作。
自始至終全部由關鍵工作組成的線路為關鍵線路,或線路上總的工作持續時間最長的線路為關鍵線路。網絡圖上的關鍵線路可用雙線或粗線標注。
(2)單代號網絡計劃時間參數的計算步驟
1)計算最早開始時間和最早完成時間
網絡計劃中各項工作的最早開始時間和最早完成時間的計算應從網絡計劃的起點節點開始,順著箭線方向依次逐項計算。
網絡計劃的起點節點的最早開始時間為零。
工作最早完成時間等于該工作最早開始時間加上其持續時間。
工作最早開始時間等于該工作的各個緊前工作的最早完成時間的最大值。
2)網絡計劃的計算工期Tc
計算工期TC等于網絡計劃的終點節點n的最早完成時間EFn。
3)計算相鄰兩項工作之間的時間間隔LAGi,j
相鄰兩項工作i和j之間的時間間隔LAGi,j等于緊后工作j的最早開始時間ESj和本工作的最早完成時間EFi之差。
4)計算工作總時差TFi
工作i的總時差TFi應從網絡計劃的終點節點開始,逆著箭線方向依次逐項計算。網絡計劃終點節點的總時差TFn,如計劃工期等于計算工期,其值為零。
其他工作i的總時差TFi等于該工作的各個緊后工作歹的總時差TFj加該工作與其緊后工作之間的時間間隔LAGi,j之和的最小值。
5)計算工作自由時差
工作i若無緊后工作,其自由時差FFj等于計劃工期Tp減該工作的最早完成時間EFn。
當工作i有緊后工作j時,其自由時差FFi等于該工作與其緊后工作j之間的時間間隔LAGi,j的最小值。
6)計算工作的最遲開始時間和最遲完成時間
工作i的最遲開始時間LSi等于該工作的最早開始時間ESi與其總時差TFi之和。
工作i的最遲完成時間LFi等于該工作的最早完成時間EFi與其總時差TFi之和。
7)關鍵工作和關鍵線路的確定
總時差最小的工作是關鍵工作。
從起點節點開始到終點節點均為關鍵工作,且所有工作的時間間隔為零的線路為關鍵線路。
4.關鍵工作、關鍵路線和時差的確定
(1)關鍵工作
關鍵工作指的是網絡計劃中總時差最小的工作。當計劃工期等于計算工期時,總時差為零的工作就是關鍵工作。
當計算工期不能滿足計劃工期時,可設法通過壓縮關鍵工作的持續時間,以滿足計劃工期要求。在選擇縮短持續時間的關鍵工作時,宜考慮下述因素:
1)縮短持續時間而不影響質量和安全的工作;
2)有充足備用資源的工作;
3)縮短持續時間所需增加的費用相對較少的工作等。
(2)關鍵線路
在雙代號網絡計劃和單代號網絡計劃中,關鍵路線是總的工作持續時間最長的線路。該線路在網絡圖上應用粗線、雙線或彩色線標注。
一個網絡計劃可能有一條或幾條關鍵路線,在網絡計劃執行過程中,關鍵路線有可能轉移。
(3)時差的運用
總時差指的是在不影響總工期的前提下,本工作可以利用的機動時間。
自由時差指的是在不影響其緊后工作最早開始時間的前提下,本工作可以利用的機動時間。
5.進度計劃調整的方法
進度計劃執行中的管理工作主要有以下幾個方面:
(1)檢查并掌握實際進展情況;
(2)分析產生進度偏差的主要原因;
(3)確定相應的糾偏措施或調整方法。
進度計劃的檢查的方法主要有:
(1)計劃執行中的跟蹤檢查;
(2)收集數據的加工處理;
(3)實際進度檢查記錄的方式。
網絡計劃檢查的主要內容:
(1)關鍵工作進度;
(2)非關鍵工作的進度及時差利用情況;
(3)實際進度對各項工作之間邏輯關系的影響;
(4)資源狀況;
(5)成本狀況;
(6)存在的其他問題。
進度計劃的調整內容:
(1)調整關鍵線路的長度;
(2)調整非關鍵工作時差;
(3)增、減工作項目;
(4)調整邏輯關系;
(5)調整工作的持續時間;
(6)調整資源的投入。
一、單項選擇題
1.關于橫道圖的說法,錯誤的是( )。
A.橫道圖上所能表達的信息量較少,不能表示活動的重要性
B.橫道圖不能確定計劃的關鍵工作、關鍵路線與時差
C.橫道圖適用于手工編制計劃
D.橫道圖能清楚表達工序(工作)之間的邏輯關系
2.與工程網絡計劃方法相比,橫道圖進度計劃方法的缺點是不能( )。
A.直觀表示計劃中工作的持續時間
B.確定實施計劃所需要的資源數量
C.直觀表示計劃完成所需要的時間
D.確定計劃中的關鍵工作和時差
3.雙代號網絡圖中,節點表示( )。
A.工作 B.工作的開始
C.工作的結束 D.工作的開始或結束
4.雙代號網絡圖中,虛箭線表示( )。
A.自由消耗程度 B.工作的持續時間
C.工作之間的邏輯關系 D.非關鍵工作
5.網絡圖中,中間節點( )。
A.既無外向箭頭,也無內向箭頭 B.只有外向箭頭
C.既有外向箭頭,也有內向箭頭 D.只有內向箭頭
6.關于單代號網絡計劃的說法,正確的是( )。
A.箭線表示工作及其進行的方向,節點表示工作之間的邏輯關系
B.節點表示工作,箭線表示工作進行的方向
C.箭線表示工作及其進行的方向,節點表示工作的開始或結束
D.節點及其編號表示工作,箭線表示工作之間的邏輯關系
7.關于工程網絡計劃的說法,正確的是( )。
A.單代號搭接網絡計劃屬于肯定型網絡計劃
B.雙代號網絡計劃屬于非肯定型網絡計劃
C.雙代號時標網絡計劃屬于非肯定型網絡計劃
D.單代號網絡計劃屬于事件網絡計劃
8.在工程網絡計劃執行過程中,如果某工作進度拖后,則受影響的工作一定是該工作的( )。
A.平行工作 B.后續工作
C.先行工作 D.緊前工作
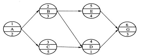
9.根據表中給定的邏輯關系所繪制的雙代號網絡計劃如下圖所示,其作圖錯誤的是( )。
|
工作名稱
|
A
|
B
|
C
|
D
|
E
|
G
|
H
|
|
緊前工作
|
|
|
A
|
A
|
A、B
|
C
|
E
|

A.節點編號不對 B.邏輯關系不對
C.有多個起點節點 D.有多個終點節點
10.總時差指的是在不影響( )的前提下,本工作可利用的機動時間。
A.緊后工作 B.持續時間
C.緊前工作 D.總工期
11.在網絡計劃中,工作的最早開始時間應為其所有緊前工作的( )。
A.最早完成時間的最大值 B.最早完成時間的最小值
C.最遲開始時間的最大值 D.最遲開始時間的最小值
12.在雙代號網絡計劃中,節點的最遲時間是以該節點為( )。
A.完成節點的工作最早完成時間
B.開始節點的工作最早開始時間
C.完成節點的工作最遲完成時間
D.開始節點的工作最遲開始時間
13.網絡計劃中工作與其緊后工作之間的時間間隔等于該工作緊后工作的( )。
A.最早開始時間與該工作最早完成時間之差
B.最遲開始時間與該工作最早完成時間之差
C.最早開始時間與該工作最遲完成時間之差
D.最遲開始時間與該工作最遲完成時間之差
14.在搭接網絡計劃中,終點節點一般表示( )。
A.實際工作 B.虛擬工作
C.計劃工期 D.實際工期
15.下圖所示的單代號網絡計劃,其計算工期為( )天。

A.1 1 B.9
C.1 2 D.1 5
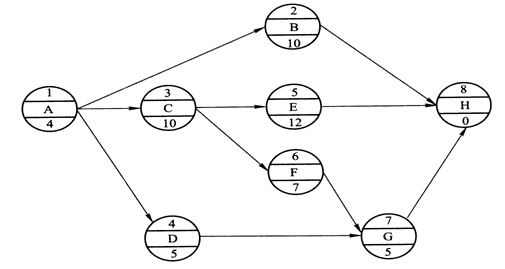
16.某工程單代號網絡圖如下,正確的是( )。

A.工作D的ES為2 B.工作G的FF為2
C.工作F的FF為1 D.工作H的FF為1
17.某分部工程雙代號時標網絡計劃如下圖所示,其中工作A的總時差和自由時差( )天。

A.分別為1和。 B.均為1
C.分別為2和。 D.均為0
18.在網絡計劃中,判別關鍵工作的條件是( )最小。
A.持續時間 B.時間間隔
C.自由時差 D.總時差
19.在網絡計劃中,判斷關鍵工作的條件是該工作( )。
A.自由時差最小 B.與其緊后工作之間的時間間隔為零
C.持續時間最長 D.最早開始時間等于最遲開始時間
20.關于關鍵工作和關鍵線路的說法,錯誤的是( )。
A.總時差最小的工作是關鍵工作
B.關鍵線路上不能有虛工作
C.關鍵線路上工作的總持續時間最長
D.關鍵線路上的工作都是關鍵工作
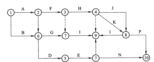
21.某雙代號網絡計劃如下圖所示,其關鍵線路有( )條。

A.2 B.3
C.4 D.5
22.某工程單代號網絡計劃如下圖所示,其關鍵線路有( )條。

A. 2 B.3
C. 4 D.5
23.已知某工程雙代號網絡計劃的計劃工期等于計算工期,且工作M的開始節點和完成節點均為關鍵節點,下列關于工作M說法正確的是( )。
A.為關鍵工作 B.總時差等于自由時差
C.自由時差為零 D.總時差大于自由時差
24.在網絡計劃中,工作的總時差是指在不影響( )的前提下,該工作可以利用的機動時間。
A.緊后工作最早開始時間 B.后續工作最早開始時間
C.緊后工作最遲開始時間 D.緊后工作最早完成時間
25.在網絡計劃中,工作的自由時差是指在不影響( )的前提下,該工作可以利用的機動時間。
A.緊后工作最早開始時間 B.后續工作最早開始時間
C.緊后工作最遲開始時間 D.緊后工作最早完成時間
26.在網絡計劃中,工作N最遲完成時間為第25天,持續時間為6天。該工作有三項緊前工作,它們的最早完成時間分別為第10天、第12天和第13天,則工作N的總時差為( )天。
A.6 B.9
C.12 D.15
27.在網絡計劃中,工作N最早完成時間為第17天,持續時間為5天。該工作有三項緊后工作,它們的最早開始時間分別為第25天、第27天和第30天,則工作N的自由時差為( )天。
A.13 B.8
C.3 D.5
28.在網絡計劃執行過程中,若某項工作比原計劃拖后,當拖后的時間大于其擁有的自由時差時,則肯定影響( )。
A.總工期 B.后續工作
C.所有緊后工作 D.某些緊后工作
29.檢查網絡計劃時,發現某工作尚需作業A天,到該工作計劃最遲完成時刻尚余B天,原有總時差為C天,則該工作尚有總時差為( )天。
A.C--A B.C--B
C.A--B D.B--A
30.在某工程網絡計劃中,已知工作M的總時差和自由時差分別為7天和5天,檢查實際進度時發現該工作的持續時間延長了3天,說明此時工作M的實際進度( )。
A.既不影響總工期,也不影響其后續工作的正常進行
B.不影響總工期,但將其后續工作的開始時間推遲3天
C.將使總工期延長3天,但不影響其后續工作的正常進行
D.將其后續工作的開始時間推遲3天,并使總工期延長3天
31.已知某工程網絡計劃中工作M的自由時差為3天,總時差為5天。該工作的實際進度拖后,且影響總工期1天。在其他工作均正常進行的前提下,工作M的實際進度拖后( )天。
A.3 B.4
C.5 D.6
32.當關鍵線路的實際進度比計劃進度拖后時,應在尚未完成的關鍵工作中,選擇( )的工作縮短其持續時間,并重新計算未完成部分的時間參數,將其作為一個新計劃實施。
A.資源強度小或費用低 B.直接費用高
C.資源強度大或費用高 D.工作時間長
33.某工程雙代號時標網絡計劃如下圖所示,如果B、D、I三項工作共用一臺施工機械且必須按順序施工,則( )。

A.工期不會延長,施工機械在現場不會閑置
B.工期不會延長,施工機械在現場閑置1周
C.工期會延長1周,施工機械在現場閑置1周
D.工期會延長1周,施工機械在現場不會閑置
34.當工程網絡計劃的計算工期大于要求工期時,為滿足要求工期,對網絡計劃進行調整的基本方法是( )。
A.減少相鄰工作之間的時間間隔 B.縮短關鍵工作的持續時間
C.減少相鄰工作之間的時距 D.縮短關鍵工作的總時差
35.下圖所示的單代號搭接網絡計劃(時間單位:天),其計算工期是( )天。

A. 26 B. 27
C. 28 D. 29
二、多項選擇題
1.橫道圖進度計劃與網絡計劃相比,其優點有( )。
A.適用于手工編制計劃
B.能夠清楚地表達活動的持續時間
C.表達方式較為直觀
D.能清楚表達活動間的邏輯關系
E.可以與勞動力計劃相結合
2.橫道圖進度計劃存在的不足有( )。
A.表達直觀
B.難以適應大的進度計劃系統
C.計劃調整只能以手工方式進行
D.不能確定計劃的關鍵工作、關鍵路線與時差
E.工序(工作)之間的邏輯關系可以設法表達,但不易表達清楚
3.非確定型網絡計劃有( )。
A.計劃評審技術 B.圖示評審技術
C.風險評審技術 D.搭接網絡計劃
E.決策關鍵線路法
4.按照工作持續時間的特點不同,工程網絡計劃可劃分為( )。
A.肯定型網絡計劃 B.隨機型網絡計劃
C.分級型網絡計劃 D.事件型網絡計劃
E.非肯定型網絡計劃
5.關于網絡計劃的說法,正確的有( )。
A.時標網絡計劃中可以存在波形線
B.單代號網絡計劃中不存在虛工作
C.單代號網絡計劃中存在虛箭線
D.雙代號網絡計劃中不存在虛工作
E.雙代號網絡計劃中可以存在虛箭線
6.雙代號網絡計劃的特點有( )。
A.相鄰兩關鍵工作的時間間隔為零
B.關鍵工作兩端的節點為關鍵節點
C.關鍵工作的總時差為零
D.關鍵線路的總持續時間最長
E.關鍵節點的最早時間與最遲時間相等
7.某分部工程雙代號網絡計劃如下圖所示,其中存在的繪圖錯誤有( )。
A.循環回路 B.多個終點節點

C.多個起點節點 D.節點編號重復
E.兩項工作有相同的代號
8.工程網絡計劃的計算工期等于( )。
A.單代號網絡計劃中終點節點所代表的工作的最早完成時間
B.單代號網絡計劃中終點節點所代表的工作的最遲完成時間
C.雙代號網絡計劃中結束工作的最早完成時間的最大值
D.雙代號網絡計劃中結束工作的最遲完成時間的最大值
E.時標網絡計劃中最后一項關鍵工作的最早完成時間
9.下列網絡計劃參數中,以計劃工期作為約束條件的有( )。
A.最早完成時間 B.總時差
C.最遲完成時間 D.自由時差
E.時間間隔
10.雙代號時標網絡計劃能夠清楚地表明工程計劃的時間進程,可以在圖上直接顯示出的時間參數有( )。
A.工作的最早開始時間 B.關鍵線路
C.工作的總時差 D.工作的最遲開始時間
E.工作的自由時差
11.工程網絡計劃中,關鍵工作是指( )的工作。
A.時標網絡計劃中無波形線
B.雙代號網絡計劃中兩端節點為關鍵節點
C.最早開始時間與最遲開始時間相差最小
D.最早完成時間與最遲完成時間相差最小
E.與緊后工作之間時間間隔為零的工作
12.關于網絡計劃關鍵線路的說法,正確的有( )。
A.相鄰兩項工作間的時間間隔均為零的線路
B.總持續時間最長的線路
C.時標網絡計劃中沒有波形線的線路
D.雙代號網絡計劃中無虛箭線的線路
E.雙代號網絡計劃中由關鍵節點連成的線路
13.某分部分項工程雙代號網絡計劃如下圖所示,其中關鍵工作有( )。

A.工作B B.工作C
C.工作D D.工作E
E.工作H
14.某工程雙代號網絡計劃如下圖所示,圖中已經標出每項工作的最早開始時間和最遲開始時間,該計劃表明( )。

A.工作D的總時差為零 B.工作H為關鍵工作
C.工作E的自由時差為3天 D.工作C的自由時差為2天
E.工作B的自由時差為零
15.在某工程網絡計劃中,工作M的總時差為2天。在該計劃執行一段時間后檢查實際進展情況時發現工作M的總時差變為-3天,說明工作M的實際進度( )。
A.拖后3天 B.影響工期3天
C.拖后5天 D.影響工期5天
E.拖后2天
16.某分部工程雙代號時標網絡計劃如下圖所示,該計劃所提供的正確信息有( )。

A.工作B的總時差為3天 B.工作C的總時差為2天
C.工作D為關鍵工作 D.工作E的總時差為3天
E.工作G的自由時差為2天
17.調整工程網絡計劃時,調整內容一般包括( )。
A.非關鍵工作時差 B.關鍵線路長度
C.工作組織關系 D.工作工藝過程
E.工作持續時間
18.當計算工期超過計劃工期時,可壓縮關鍵工作的持續時間以滿足要求,在確定縮短持續時間的關鍵工作時,宜選擇( )。
A.有多項緊前工作的工作
B.縮短持續時間而不影響質量和安全的工作
C.有充足備用資源的工作
D.縮短持續時間所增加的費用相對較少的工作
E.單位時間消耗資源量大的工作
19.下圖所示的某工程雙代號時標網絡計劃,在執行到第4周末和第10周末時,檢查其實際進度如圖中前鋒線所示,檢查結果表明( )。

A.第4周末檢查時,工作B拖后2周,但不影響工期
B.第4周末檢查時,工作A拖后1周,影響工期1周
C.第10周末檢查時,工作I提前1周,可使工期提前1周
D.第10周末檢查時,工作G拖后1周,但不影響工期
E.在第5~10周內,工作E和工作F的實際進度正常
20.網絡計劃中,關鍵線路是指( )的線路。
A.單代號網絡計劃中相鄰工作之間間隔時間全部為零
B.雙代號網絡計劃中由關鍵節點組成
C.雙代號時標網絡計劃中無波形線
D.雙代號網絡計劃中無虛箭線
E.單代號搭接網絡計劃中相鄰工作之間時距之和最大
【1Z203030答案與解析】
一、單項選擇題
1.D; 2.D; 3.D; 4.C; 5.C; 6.D; 7.A; 8.B;
9.D;10.D; 11.A; 12.C; 13.A; *14.B; *15.C; *16.B;
*17.A;18.D; *19.D; 20.B; *21.C; *22.A; *23.B; 24.C;
25.A; *26.A; *27.B; *28.D; 29.D; 30.A; 31.D; 32.A;
33.D; *34.B; *35.C
【解析】
14.答案B:
在搭接網絡計劃中,終點節點一般都表示虛擬工作(其持續時間為零),故其最早完成時間與最早開始時間相等,且一般為網絡計劃的計算工期。所以B正確。
15.答案C:
計算工期為:2+3+4+3=12天。所以C正確。
16.答案B:
通過計算可知,工作D的ES為6,工作F的FF為2,工作H的FF為0,工作G的FF為2.所以B正確。
17.答案A:
自由時差可以直接在圖上通過波形線得出,而時標網絡計劃中一項工作的總時差等于其緊后工作的總時差加本工作與該緊后工作之間的時間間隔所得之和的最小值。其中以終點節點為結束節點的工作(無緊后工作)的總時差為零。所以A正確。
19.答案D:
最遲開始時間等于最早開始時間,即總時差為零。所以D正確。
21.答案C:
圖中關鍵線路一共四條。
關鍵線路1:①→②→③→⑤→⑦→⑧
關鍵線路2:①→②→④→⑤→⑦→⑧
關鍵線路3:①→②→④→⑤→⑥→⑦→⑧
關鍵線路4:①→②→③→⑤→⑥→⑦→⑧
所以C正確。
22.答案A:
圖中關鍵線路一共兩條。
關鍵線路1:A→C→E→H
關鍵線路2:A→C→F→G→H
所以A正確。
23.答案B:
因為工作M的完成節點為關鍵節點,則該工作的緊后工作中必有一項是關鍵工作。如果該工作的完成節點是終點節點,那么其總時差就等于該工作的自由時差,就是時標網絡圖中波形線的長度。如果該工作的完成節點非終點節點,那么該工作的總時差等于其緊后工作的總時差與該工作自由時差的最小值。該工作緊后工作總時差的最小值是。,所以該工作的總時差等于自由時差。所以B正確。
26.答案A:
工作的總時差是指在不影響緊后工作的最遲開始時間的前提下,本工作可以利用的機動時間,因此TFN =25-6-max{ 10,12,13)=6。所以A正確。
27.答案B:
工作的自由時差是指在不影響緊后工作的最早開始時間的前提下,本工作可以利用的機動時間,因此FFN=min{ 25,27,30}-17=8。所以B正確。
28.答案D:
自由時差是所有緊后工作最早開始時間中最小值與本工作最遲完成時間的差值,因此超過了自由時差,不會影響所有緊后工作,只會影響某些緊后工作。所以D正確。
35.答案C:
解析:計算該單代號搭接網絡計劃的時間參數,如圖所示:

所以C正確。
二、多項選擇題
1.A、B、C、E; 2.B、C、D、E; 3.A、B、C、E; 4.A、B、E;
5.A、E; 6.A、B、D; 7.B、D、E; 8.A、C、E;
*9.B、C;10.A、B、E; 11.C、D; 12.A、B、C;
*13.B、D、E;14.A、D、E; *15.B、C; *16.A、B、C、D;
17.A、B、E; 18.B、C、D; *19.B、D; 20.A、C
【解析】
9.答案B、C:
工作最早完成時間、自由時差、時間間隔的計算都與計劃工期無關,而總時差和最遲完成時間的計算依賴于計劃工期。所以B、C正確。
13.答案B、D、E:
計算時間參數確定關鍵線路為①→③→④→⑤→⑥→⑧,關鍵工作有C、E、H。所以B、D、E正確。
14.答案A、D、E:
簡單的參數計算后可知工作H的總時差為1,不是關鍵工作,工作E的自由時差為2,所以B、C是錯誤選項。
15.答案B、C:
工作M的總時差變為-3天,說明工作M不僅將原有的2天總時差全部用完,而且在原計劃總工期內還差3天,因此工作M的實際進度拖后5天,影響總工期3天。所以B,C正確。
16.答案A、B、C、D:
自由時差直接從波形線的長度得到,總時差等于其緊后工作的總時差加本工作與該緊后工作之間的時間間隔所得之和的最小值。其他選項均正確,E答案中G工作的總時差為2,自由時差為0。所以A、B、C、D正確。
19.答案B、D:
從第4周的前鋒線可知,工作A拖后1周,作為關鍵工作,影響工期1周。工作B拖后2周,超過其總時差,影響工期1周,其緊后工作E、F都受影響。從第10周的前鋒線可知,工作G拖后1周,未超過總時差,不影響工期。工作H進度正常。工作I提前1周,但不是關鍵工作,不能使工期提前1周。同時,可以看出第5~10周必然采取了措施,否則工作H不能實現計劃目標,工作I甚至超過了計劃目標。所以B、D正確。
最新資訊
- 【免費領取】一級建造師考試基礎自測卷,備考必備!2025-11-03
- 考生速進!2026年一建備考,好用的刷題APP是哪個?2025-10-21
- 別錯過!8月30日9點一建決賽圈等你來考2025-08-30
- 別錯過!2025年一級建造師黃金AB卷免費領取啦2025-08-11
- 提分必備!2025年一建《建設工程經濟》經典100題免費下載2025-07-26
- 免費下載!2025年一級建造師《工程法規》經典100題,助你沖刺提分2025-07-23
- 備考必刷!2025年一級建造師項目管理經典100題免費下載2025-07-23
- 一級建造師題目講解視頻:提高價值的途徑2025-07-17
- 一級建造師題目解析視頻:閥門安裝前閥門搬運的正確做法2025-07-16
- 備考必看!免費獲取2025年新版一級建造師經典100題2025-07-07