2013年工程經濟考點:名義利率和有效利率的計算
命題考點三 名義利率和有效利率的計算
【教材解讀】
一、名義利率的計算
所謂名義利率r是指計息周期利率i乘以一年內的計息周期數m所得的年利率,即:r=i×m
通常所說的年利率都是名義利率。
二、有效利率的計算
有效利率是指資金在計息中所發生的實際利率,包括計息周期有效利率和年有效利率兩種情況。
(1)計息周期有效利率,即計息周期利率i的計算:
(2)年有效利率,即年實際利率。
若用計息周期利率來計算年有效利率,并將年內的利息再生因素考慮進去,這時所得的
年利率稱為年有效利率(又稱年實際利率)。
三、名義利率與實際利率的換算
名義利率與實際利率的換算見表1-2。
【命題考點】
名義利率;計息周期有效利率;年有效利率;名義利率與實際利率的換算。
【分析預測】
(1)基本上每年會單獨考核一道有關名義利率與實際利率換算的題目,而且在其他的計算題中也會涉及名義利率與實際利率換算的問題。
(2)考生要根據表中的換算公式總結出規律來記憶,基本換算公式中的兩個m的含義不同,考生一定要區分。
環球網校友情提示:如果您在此過程中遇到任何疑問,請登錄環球網校一級建造師頻道及考試論壇,隨時與廣大考生朋友們一起交流!
編輯推薦:
【考題回顧】
【2010年度考試真題】
年利率8%,按季度復利計息,則半年期實際利率為()。
A.4.00%
B.4.04%
C.4.07%
D.4.12%
【答案】B本題考核的是名義利率和實際利率的換算。
。
提示:r/m中的m等于一年計息的次數(本題中,一年有四個季度,就計息四次),公式中的指數m等于所求實際利率的周期與計息周期的比值。
【2009年度考試真題】
已知年名義利率為10%,每季度計息1次,復利計息,則年有效利率為()。
A.10.47%
B.10.38%
C.10.25%
D.10.00%
【答案】B本題考核的是年有效利率的計算。
【2007年度考試真題】
已知年利率12%,每月復利計息一次,則季實際利率為()。
A.1.003%
B.3.00%
C.3.03%
D.4.00%
【答案】C本題考核的是季實際利率的計算。有效利率=r/m=12%/12=1%,則季有效利率=(1+12%/12)3-1=3.03%。
【2006年度考試真題】
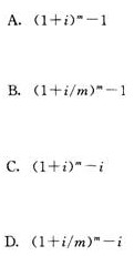
年名義利率為i,一年內計息周期數為m,則年有效利率為()。
【答案】B本題考核的是年有效利率的計算公式。年有效利率的計算公式為F=(1+i/m)m-1。
環球網校友情提示:如果您在此過程中遇到任何疑問,請登錄環球網校一級建造師頻道及考試論壇,隨時與廣大考生朋友們一起交流!
編輯推薦:
【典型習題】
1.若名義利率一定,年有效利率與一年中計息周期數m的關系為()。
A.計息周期增加,年有效利率不變
B.計息周期增加,年有效利率減小
C.計息周期增加,年有效利率增加
D.計息周期減小,年有效利率增加
2.某筆貸款的利息按年利率為10%,每季度復利計息,其貸款的年有效利率為()。
A.10.38%
B.10.46%
C.10.00%
D.10.25%
3.年名義利率8%,按季計算,則利息期有效利率和年有效利率分別是()。
A.2.O0%,8.00%
B.2.00%,8.24%
C.2.06%,8.00%
D.2.06%,8.24%
4.現在存款2000元,年利率10%,半年復利一次,則第6年年末存款金額為()。
A.1254.23
B.2543.12
C.2865.14
D.3591.71
【答案】1.C2.A3.B4.D
環球網校友情提示:如果您在此過程中遇到任何疑問,請登錄環球網校一級建造師頻道及考試論壇,隨時與廣大考生朋友們一起交流!
編輯推薦:
最新資訊
- 【免費領取】2026年一建:從真題視角看備考這件事課程2025-11-20
- 【免費領取】還在為案例題發愁?2026年一建案例精批體驗課讓你快速提分!2025-11-14
- 【免費領取】一建重點知識閃記寶典,高分必備!2025-11-13
- 環球網校雙11狂歡:一建考生鎖定直播間,強師天團送免單!2025-11-11
- 一級建造師《法規》考點:社保與公積金必須同時繳納!2025-11-11
- 2026年一級建造師必領!報考及備考資料包已備好2025-10-20
- 速來了解!2026年一級建造師教材何時出新書?2025-10-20
- 備考神器!2018-2025年一級建造師真題及答案免費下載!2025-10-14
- 備考一級建造師遇大爺夸贊?考生關注啦2025-10-13
- 考完一級建造師這樣做,薪資翻倍!2025-09-25
