2012一級建造師水利水電正版考試用書增值服務第三次
全國一級建造師執業資格考試用書
《水利水電工程管理與實務》
2012年網上增值服務(3)
1.“1F413011掌握地基基礎的要求”中需重點掌握的內容有哪些?
答:本節需重點掌握水工建筑物的地基分類,即分為巖基和軟基兩大類。水工建筑物對地基基礎的基本要求與其他非水工建筑物區別主要是抗滲要求。
2.“1F413012掌握地基處理的方法”有哪些重點?
答:本節內容簡潔,易于出題。
3.“1F413021掌握灌漿施工要求”中需重點掌握的內容有哪些?
答:本節需重點掌握的主要內容有:灌漿分類;灌漿機械設備的主要組成和主要名稱;帷幕灌漿與固結灌漿的具體施工技術要求;高壓噴射灌漿的具體施工技術要求。
4.深層攪拌防滲墻質量檢測方法有哪些?
答:深層攪拌防滲墻質量檢測方法包括開挖檢驗、取芯試驗、注水試驗及無損檢測(地質雷達探測)等。
5.防滲墻的類型注意哪些內容?
答:注意根據圖紙判斷類型。
6.土可以用堅固系數進行分級嗎?
答:不能。堅固系數全稱為巖石的堅固性系數。由前蘇聯學者于1926年提出,又稱普氏系數。巖石的堅固性區別于巖石的強度,強度值必定與某種變形方式(單軸壓縮、拉伸、剪切)相聯系,而堅固性反映的是巖石在幾種變形方式的組合作用下抵抗破壞的能力。巖石堅固性系數f表征的是巖石抵抗破碎的相對值。f是個無量綱的值。巖石的堅固性系數(f)越低,表明巖石越容易破碎。
7.什么是“西北角分配法”?
答:是指用表上作業法解線性規劃運輸問題時,建立調運初始方案的一種方法。由于這種方法是從表的左上角(西北角)X11方格開始的,不考慮運輸費用的因素,根據表內供應量與需求量的要求,進行分配,逐行逐列的予以滿足,以達到供應與需求的調配平衡。因此稱為西北角分配法。
8.什么是靜態破碎劑?
答:凡經高溫煅燒以氧化鈣為主體的無機化合物,摻入適量外加劑共同粉磨制成的具備高膨脹性能的非爆破性破碎用粉狀材料,稱為無聲破碎劑(SoundlessCrackingAgent,簡稱SCA),又稱靜態破碎劑(又名無聲破石劑、裂石劑、膨脹劑、無聲炸藥)。
9.水利水電工程施工中常見模板類型及拆模時間有哪些要求?
答:水利水電工程施工中常見模板類型包括固定式、拆移式、移動式、滑升式以及混凝土及鋼筋混凝土預制模板等。其適用范圍見考試用書P94~96及相關規范。
拆模時間的掌握最重要的是不同的結構部位,對混凝土應具備的強度要求不同。
10.水工建筑物施工縫處理技術要求有哪些?
答:施工縫指澆筑塊間臨時的水平和垂直結合縫,也是新老混凝土的結合面。在新混凝土澆筑前,必須采用高壓水槍或風砂槍將老混凝土表面含游離石灰的水泥膜(乳皮)清除,并使表層石子半露,形成有利于層間結合的麻面。對縱縫表面可不鑿毛,但應沖洗干凈,以利灌漿。采用高壓水沖毛,視氣溫高低,可在澆筑后5~20h進行;當用風砂槍沖毛時,一般應在澆后一兩天進行。施工縫面鑿毛或沖毛后,應用壓力水沖洗干凈,使其表面無碴、無塵,才能澆筑混疑土。
11.水工大體積混凝土溫控措施有哪些?
答:大體積混凝土溫控措施主要有減少混凝土的發熱量、降低混凝土的入倉溫度、加速混凝土散熱等。需要注意的是上述三項措施涉及混凝土施工的不同階段,考試時應注意針對不同階段相應的具體措施內容是有差別的,不要混淆。
如果您在此過程中遇到任何疑問,請登錄環球網校一級建造師考試論壇,隨時與廣大考生朋友們一起交流!
編輯推薦:
12.“1F419000水利水電工程施工安全技術”中需重點掌握的內容有哪些?
答:本章與第二版相關章節相比,內容變化多。需重點掌握施工用電、高空作業、爆破作業及工地運輸等容易產生安全隱患的各項作業中需注意的安全事項和規定。
13.簡述“1F420000水利水電工程項目施工管理”的核心內容。
答:1F420000水利水電工程項目施工管理由兩部分組成,第一部分是1F420010~1F420140,主要是水利水電工程項目管理方面與其他行業不同之處或有行業特點的一些管理規定,重點是水利部的相關規定;第二部分是1F420150水利水電工程項目施工的綜合管理,主要是通過提供的一些案例題,來說明技術與管理的結合。
14.什么是水利工程建設程序的實質內容?
答:國家對于使用政府財政資金建設的水利工程建設項目,從立項到工程建設投入使用劃分成若干階段,在每個階段又設置了一定工作程序和工作成果要求,從而保證投資的有效性,避免盲目投資,造成國家資金的損失,可以理解為建設程序的主要實質內容。
15.水利工程建設程序與水電工程建設程序一樣嗎?
答:工程建設盡管專業不同,但建設程序的核心內容是相同的,只是表述以及階段劃分不同。水利工程與電力行業的水電工程建設程序劃分基本相同,但有關內容的表述上有不同。本書僅介紹水利工程建設程序,考試也僅考水利工程建設程序的內容。
16.目前水利工程進行施工準備應具備的條件有變化嗎?
答:書上介紹的有關文件條件要求是1995年的規定,目前已經有改變,主要是取消了辦理報建手續,詳見書147頁倒數第五行。
17.有水利工程建設項目管理“四項”制度的說法嗎?
答:“四項”制度是指項目法人責任制、招標投標制、建設監理制、合同管理制,但水利工程建設管理常說的是項目法人責任制、招標投標制、建設監理制(簡稱“三項”制度)。
18.水利工程建設的項目法人責任制有具體的實施管理文件嗎?
答:對于經營性水利工程,水利部1995年頒布了《水利工程建設項目管理實行項目法人責任制的若干意見》。但對于非經營性水利工程,項目法人責任制方面的管理文件,目前尚未見如同招標投標、建設監理方面那樣具體的管理文件。
19.水利工程建設稽查與工程質量監督主要區別在哪里?
答:水利工程建設稽查的對象是國家撥款建設的工程建設項目,工程質量監督的對象是所有工程建設項目;水利工程建設稽查是工程建設全過程,即建設程序的整個過程,工程質量監督是工程建設實施以及竣工驗收階段。
20.勞務分包企業可以直接參加工程施工投標嗎?
答:不可以。勞務分包企業的“分包”,就是指只能從總承包或專業承包企業承包的工程中分包有關勞務作業。
21.有關招標投標方面的規定較多,考試如何辦?
答:規定較多,但基本上是大同小異。考試時,應當注意“小異”的地方,考什么專業,就按該專業的要求進行答題。
22.水利工程建設項目招標工作程序的關鍵詞是什么?
答:如果有關鍵詞的話,可以嘗試歸納為:備案、指定媒體、媒體時間、截止時間、編制時間、總結報告、中標。
23.《中華人民共和國招標投標法實施條例》已經頒發,《水利工程建設項目招標投標管理規定》準備修改嗎?
答:據了解,管理規定準備修改。考試應當避免與條例沖突的內容。
如果您在此過程中遇到任何疑問,請登錄環球網校一級建造師考試論壇,隨時與廣大考生朋友們一起交流!
編輯推薦:
24.考試用書第13頁,上層滯水與潛水有什么區別?
答:
上層滯水,簡稱上滯水,是指包氣帶內局部隔水層之上積聚的具有自由水面的重力水。
潛水,是指地面以下,第一個穩定隔水層以上具有自由水面的水。
簡單而言,潛水比較穩定,范圍比較大;上層滯水不夠穩定,范圍較小(見圖14.1)。

圖14.1地下水埋藏示意圖
25.考試用書第13頁,什么是巖土的給水性?
答:指在重力作用下飽水巖土從孔隙中能自由流出一定水量的性能,以給水度表示(在常壓下飽水巖土在重力作用下流出來的水體積與該巖土總體積之比)。
26.考試用書第13頁,什么是自然(物理)地質現象?
答:物理地質現象是內外地質動力作用對地殼表層巖土體綜合作用的產物,如地震、邊坡變形與破壞、地面塌陷、泥石流、沖溝、巖溶等。這些現象是巖土工程條件中最活躍的因素。
27.輕型井點降水和管井降水有何不同?
答:管井降水,是在基坑周圍布置一些單獨工作的管井,地下水在重力作用下流入井中,用抽水設備將水抽走(見圖17.1)。

圖17.1管井降水布置示意圖
輕型井點是一個由井管、集水總管、普通離心式水泵、真空泵和集水箱等組成的排水系統,如圖17.2所示。地下水從井管下端的濾水管憑借真空泵和水泵的抽吸作用流入管內,匯入集水總管,流入集水箱,由水泵排出。

圖17.2輕型井點降水布置示意圖
兩者的主要區別在于:①管井是單獨作用的排水設備,輕型井點則是一個排水系統;②管井排水中地下水在重力作用下進入管井,輕型井點排水中地下水由其他設備的抽吸作用流入井管。
28.什么是基本烈度?
答:地震烈度是指某一地區的地面和建筑物遭受一次地震影響的強弱程度。烈度的工程意義是作為抗震設防的標準,常分為基本烈度和設計烈度。
基本烈度是指一個地區在今后100年內,在一般場地條件下可能遇到的最大地震烈度。
29.通用硅酸鹽水泥包括哪些水泥?
答:硅酸鹽水泥、普通硅酸鹽水泥、礦渣硅酸鹽水泥、火山灰硅酸鹽水泥、粉煤灰硅酸鹽水泥和復合硅酸鹽水泥。
30.什么是水泥的安定性?
答:水泥的安定性即體積安定性,是指水泥在凝結硬化過程中體積變化是否均勻的性質。
水泥漿體在硬化過程中體積發生不均勻變化時導致的膨脹開裂、翹曲等現象,稱為體積安定性不良。安定性不良的水泥會使混凝土構件產生膨脹性裂縫,從而降低建筑物質量,甚至引起嚴重事故。
31.混凝土的抗凍性是否用循環次數表示?
答:混凝土的抗凍性是指混凝土在水飽和狀態下,經受多次凍融循環作用,能保持強度和外觀完整性的能力。
混凝土抗凍性一般以抗凍等級表示。抗凍等級是采用慢凍法,以齡期28d的試塊在吸水飽和后,承受反復凍融循環,以抗壓強度下降不超過25%,而且質量損失不超過5%時所能承受的最大凍融循環次數來表示。
混凝土抗凍等級劃分為:F50、F100、F150、F200及F300等,分別表示混凝土能夠承受反復凍融循環次數為50、100、150、200和300次等。
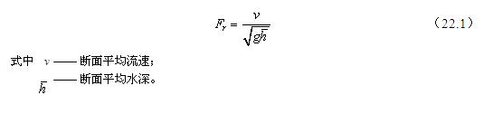
32.什么是弗汝德數?
答:弗汝德數(Froudenumber),流體力學中表征流體慣性力和重力相對大小的一個無量綱參數,記為Fr.在水力學中,用下式表示:

如果您在此過程中遇到任何疑問,請登錄環球網校一級建造師考試論壇,隨時與廣大考生朋友們一起交流!
編輯推薦:
最新資訊
- 2026,抄底一建礦業!這個悶聲發大財的專業,再不關注就晚了!2025-11-19
- 通信工程一級建造師值得考嗎?全面分析2025-11-18
- 2025年一級建造師考試會"卡"及格率嗎?真相揭秘2025-11-18
- 深度解析:一建證書已“爛大街”?別讓誤解耽誤你的職業未來2025-11-15
- 2026年一級建造師鐵路工程:國家股暴漲,紅利期來臨!2025-11-13
- 2026年職業規劃新思路:一建機電,你的“避險”與“破局”之選2025-11-12
- 一級建造師證書用途原來這么多,很多人都不知道!2025-11-11
- 一級建造師這個專業,不好考,但很吃香!2025-11-11
- 2026年一級建造師報考全攻略:時間節點、流程、科目分析2025-11-07
- 報考必讀:2026年全國一級建造師考試專業詳細介紹2025-11-06