2015年理財規劃師二級投資規劃復習:馬柯維茨投資組合理論
更新時間:2015-02-11 13:01:22
來源:|0
瀏覽
收藏
理財規劃師報名、考試、查分時間 免費短信提醒
摘要 2015年理財規劃師二級投資規劃復習:馬柯維茨投資組合理論
熱門輔導班型:2015年一對一雙證班熱招
馬柯維茨投資組合理論
(一) 均值-方差模型
1. 原理:只需要實現預期收益率最大化和收益率不確定性的最小化兩者之間的均衡,便可以優化證券的組合方式。
2. 假設:
(1)投資者通過投資組合在某一段時間的預期報酬率和標準差來評價這一投資組合
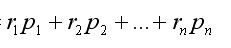
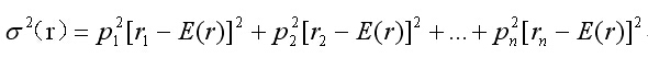
(2)投資者是不知足的和厭惡風險的,即投資者總是希望期望收益率越高越好,而方差越小越好。方差是未來收益可能值對期望收益值的偏離的平方的加權平均。
期望收益率E(r)=
資產組合的方差:
3. 有效邊界
標準差(方差的平方根)為橫軸、期望收益率為縱軸。
4. 最優風險資產組合
(1) 無差異曲線
(2) 最優證券組合:無差異曲線族與有效邊界相切的切點對應的組合。
5. 馬柯維茨均值-方差模型的應用
第一步:估計各單個證券的期望收益率、方差,以及每兩個證券之間的相關系數
第二步:計算給定期望收益率水平下的最小方差組合
編輯推薦:
2014年下半年理財規劃師成績查詢專題 2015年無條件代報名
理財規劃師各級別歷年真題大匯總|免費在線?|理財規劃師頻道|交流論壇
編輯推薦
最新資訊
- 理財規劃師告訴你理財為什么要趁早2019-09-25
- 理財規劃師考試專業能力備考:可保利益原則2019-09-23
- 理財規劃師考試知識點:風險管理效果評價2019-09-07
- 理財規劃師考試基礎知識點復習:實施理財規劃方案2019-09-06
- 理財規劃師考試輔導:風險管理效果評價2019-09-06
- 理財規劃師基礎知識復習:確定客戶理財目標2019-09-05
- 理財規劃師考試知識點:分項理財規劃2019-09-05
- 理財規劃師考試備考:如何提高學習效率2019-09-04
- 理財規劃師考點復習:國際金融2019-09-03
- 理財規劃師基礎能力考點梳理:第1章2019-09-03