環球網校2014年經濟師中級房地產押題命中率統計
熱點推薦:2014經濟師曬分有禮|有獎征文|成績優惠券|輔導選課指南
一、押中率統計
單選題 | 多選題 | 案例分析題 | 總分 | |
精講班押中考點 | 56分 | 112分 | 4分 | 134分 |
沖刺班押中考點 | 51分 | 109分 | 2分 | 126分 |
押題班押中考點 | 43分 | 分 | 2分 | 121分 |
二、押中試題展示
【2014年真題?單選題】對因政府有關部門的行為造成的閑置土地,處置方式是( )。
A. 自動延長動工開發期限2年
B.辦理有關手續后再開發建設
C.為土地使用者置換其他等價土地
D. 確定新的土地使用者且不給予原土地使用者補償
【答案】C
【解析】考察因政府或政府有關部門的行為造成閑置土地的處置方式。因政府或政府有關部門的行為造成閑置土地的處置方式:延長動工開發期限,單最長不得超過一年;調整土地用途、規劃條件;由政府安排臨時使用;協議有償收回國有建設用地使用權;置換土地;其他處置方式。本題中,C說法正確。
【真題還原:預測試題15:單選題】下列因政府或政府有關部門的行為造成的閑置土地處置方式中,正確的是( )。
A.延長動工開發期限2年
B.雙倍追加閑置期間的土地出讓金
C.調整土地用途、規劃條件
D.協議無償收回國有建設用地使用權
【答案】C
【直接考點】因政府或政府有關部門的行為造成的閑置土地處置方式:
(1)延長動工開發期限。延長動工開發期限最長不得超過一年。
(2)調整土地用途、規劃條件。
(3)由政府安排臨時使用。從安排臨時使用之日起,臨時使用期限最長不得超過兩年。
(4)協議有償收回國有建設用地使用權。
(5)置換土地。
(6)市、縣國土資源主管部門還可以根據實際情況規定其他處置方式。
【點評】真題與模擬題的基本考點一模一樣。
【2014年真題?多選題】下列個人住房抵押貸款做法中,會降低月償還額的有( )。
A. 提高首付款比例
B.爭取貸款利率優惠
C.增加貸款額度
D.延長貸款期限
E.在貸款金額不變的情況下增加住房公積金貸款
【答案】ABDE
【解析】本題為開放性試題,考察個人住房貸款的相關術語及計算。提高首付款比例、爭取貸款利率優惠、延長貸款期限、在貸款金額不變的情況下增加住房公積金貸款等方式,都可以降低月償還額。答案為ABDE。
【真題還原:預測試題80:多選題】下列住房信貸政策措施中,可減輕住房購買人當前負擔的有( )。
A.提高首付款比例
B.降低貸款利率
C.擴大利率上浮幅度
D.增加貸款額度
E.延長貸款期限
【答案】BDE
【直接考點】分析判斷題。AC加重住房購買人當前負擔。
【點評】該真題與預測題雖然在表達上有所不同,但其考核的基本知識點一致。
【2014年真題?案例分析題(五)】
趙某購買一套價格為100萬元的住房,法定最低首付款比例為30%,住房公積金貸款最高額度為50萬元,住房公積金貸款年利率為4.5%,商業銀行貸款年利率為6.5%,最長貸款期限為30年。
97.趙某的購房款可以( )。
A. 全部為自有資金
B.全部為住房公積金貸款
C.全部為商業性貸款
D. 為自有資金加組合貸款
【答案】AD
【解析】趙某買房的購房款可以全部為自有資金,也可為自有資金加組合貸款。住房公積金貸款最高額度為50萬元,滿足不了趙某的需要;貸款金額一般為所購住房總價減去收付款后的余額,因此不可能全部為商業貸款。
98.若趙某的自有資金僅夠支付最低首付款,則趙某應申請住房公積金貸款( )萬元。
A.30
B.50
C.70
D.100
【答案】B
【解析】趙某的首付為100*30%=30萬元,尚差70萬元,超過公積金貸款上限,因此趙某應申請住房公積金貸款50萬元。
99.若趙某可用足其住房公積金貸款額度,則趙某的商業性貸款最多為( )萬元。
A.20
B.30
C.50
D.100
【答案】A
【解析】趙某的首付為100*30%=30萬元,趙某用足其住房公積金貸款額度,貸款金額為50萬元,還可以商業貸款20萬元。
100.若趙某的購房款中最低首付款以外的房款需貸款,并按月等額本息還款,則趙某的月還款額最少為( )元。
A.1264.14
B.2533.43
C.3000.00
D.3797.57
【答案】D
【解析】若趙某的購房款中最低首付款以外的房款需貸款,趙某的月還款額最少的情況是住房公積金貸款P1=50萬元,商業貸款P2=20萬元,貸款期限都為30年,即30*12=360個月,住房公積金貸款月利率i1=4.5%/12,商業銀行貸款年利率i2=6.5%/12。
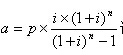
此時,則住房公積金月還款金額A1= P1*i1*(1+i1)n/[(1+i1)n-1]=
50*4.5%/12*(1+4.5%/12)360/[(1+4.5%/12)360-1]= 2533.43元;
商業貸款月還款額A2= P2*i2*(1+i2)n/[(1+i2)n-1]=
20*6.5%/12*(1+6.5%/12)360/[(1+6.5%/12)360-1]= 1264.14
月還款額A= A1+A2=3797.57元。
【真題回歸:預測試題:案例分析題(五)】
李某購買一套價格為100萬元的住房,法定最低首付款比例為30%,住房公積金貸款最高額度為50萬元,住房公積金貸款年利率為4.5%,商業銀行貸款年利率為6.5%,貸款期限為10年。
97.關于李某貸款金額的說法,正確的為( )。
A.最多可貸款70萬元
B.至少應貸款30萬元
C.住房公積金貸款最多50萬元
D.商業性貸款最少20萬元
【答案】AC
【解析】法定最低首付款比例為30%,房價100萬元,最高貸款為100×70%=70萬元,故A正確。住房公積金最高貸款額度為50萬元,故C正確。商業性貸款最少20萬元不準確,至少應貸款30萬不準確,故BD錯誤。
98.關于李某選擇最優貸款方案的說法,正確的為( )。
A.先用足公積金貸款
B.先選擇商業性貸款
C.公積金貸款和商業性貸款各半
D.公積金貸款占70%,商業性貸款占30%
【答案】A
【解析】BCD均沒有最大限度利用公積金貸款,不是最優方案。
99.若李某首付款40萬元,余款采用貸款,并按月等額本息還款,則李某的月還款額最少為( )元。
A.1135.48
B.4046.44
C.5181.92
D.6317.40
【答案】D
【解析】首付40萬元,貸款額為60萬元。其中公積金貸款50萬元,商業貸款10萬元。貸款期限120月,對應相應貸款月利率,分別代入月還款額公式
計算,求和得出6317.4元。
100.李某若想減少、月還款額,其可采取的辦法為( )。
A.減少貸款額
B.延長貸款期限
C.減少首付款
D.降低貸款利率
【答案】AB
【解析】鹽城貸款期限及減少貸款額可減少月還款額,故AB為李某可采取的方法。減少首付款會增加貸款,增加月還款額。降低貸款利率不是李某能做到的可以采取的辦法。
【點評】這兩個案例分析題出題思路幾乎一模一樣,考核的知識點也很一致。
特別說明:此文系環球網校經濟師頻道原創內容,未經許可不得轉載或抄襲,謝謝合作!
環球網校友情提示:如果您在此過程中遇到任何疑問,請登錄環球網校經濟師頻道&論壇,或加經濟師考試QQ群:301183612,我們隨時與廣大考生朋友們一起交流!

最新資訊
- 2020年初中級經濟師《經濟基礎》章節考點匯總2019-11-15
- 2019年初中級經濟師《工商管理》考點匯總2019-10-17
- 2019年初中級經濟師《金融經濟》考點匯總2019-10-15
- 2019年初中級經濟師《建筑經濟》考點匯總2019-10-15
- 2019年初中級經濟師《財政稅收專業》考點匯總(10月12日更新)2019-10-12
- 2019年初中級經濟師《經濟基礎》考點匯總2019-10-10
- 2019年經濟師考試這12個公式必備!2019-09-10
- 2019年全國經濟師考試教材正式出版!2019-07-09
- 2019年經濟師考試備考必背公式集合匯總2019-04-25
- 2019年經濟師考試備考必背公式集合三2019-04-25