欧美老妇人XXXX-天天做天天爱天天爽综合网-97SE亚洲国产综合在线-国产乱子伦精品无码专区

當前位置: 首頁 > 經濟師 > 經濟師備考資料 > 2014經濟師《中級經濟基礎》講義:第1章

2014經濟師《中級經濟基礎》講義:第1章

更新時間:2014-08-01 13:21:56 來源:|0 瀏覽0收藏0
摘要 2014經濟師《中級經濟基礎》講義匯總,供備考2014中級經濟師考試的考生學習。

熱點專題:2014經濟師報名入口|新教材解析|經濟師如何選專業|[每月免費課堂]

套餐推薦:"私人訂制"學習方案|全程一對一|零基礎VIP保過|初中級保過|超值特惠

   2014經濟師《中級經濟基礎》講義匯總

    2014經濟師《中級經濟基礎》講義匯總,供備考2014中級經濟師考試的考生學習。

  第一章 市場需求、供給與均衡價格

  第一部分 經濟學基礎

  一、市場需求

  (一)需求的含義(掌握)

  需求是在一定時間內和一定價格條件下,消費者對某種商品或服務愿意而且能夠購買的數量。需求的構成要素有兩個:一是購買欲望;二是支付能力。

  市場需求是消費者需求的總和。

  【例題?單選題】(2011年)在構成商品需求的基本要素中,除消費者的購買欲望外,還應包括( )。

  A.消費者的潛在收入

  B.消費者的支付能力

  C.產品的市場價格

  D.產品的生產成本

  『正確答案』B

  『答案解析』需求的構成要素有兩個:(1)購買欲望;(2)支付能力。

  (二)決定需求的基本因素(掌握)

影響需求變動的因素對需求的影響
(1)消費者的偏好支配著消費者在使用價值相同或接近的替代品之間的消費選擇。
(2)消費者的個人收入消費者收入一般指一個社會的人均收入
一般情況下,消費者收入變動將引起需求同方向變動
(3)產品價格一般而言,產品自身價格和需求的變動呈反方向變化
(4)替代品的價格所謂替代品是指使用價值相近,可以互相替代來滿足人們同一需要的商品。
商品的需求與替代品的價格呈同方向變化。
(5)互補品的價格所謂互補品是指使用價值上必須互相補充才能滿足人們某種需要的商品。
商品的需求與互補品的價格呈反方向變化。
(6)預期如房價
(7)其他因素 

  影響需求最關鍵的因素是該商品本身的價格。

  【例題1?多選題】(2010年)影響需求變動的主要因素有( )。

  A.消費者偏好

  B.互補品價格

  C.消費者的收入

  D.預期 E.生產成本

  『正確答案』ABCD

  『答案解析』影響需求變動的主要因素有消費者偏好、消費者的個人收入、產品價格、替代品價格、互補品價格、預期和其他因素等。

  【例題2?單選題】影響需求的因素很多,其中最關鍵的因素是( )。

  A.商品品種

  B.國家政策

  C.商品本身的價格

  D.消費者偏好

  『正確答案』C

  『答案解析』影響需求最關鍵的因素是該商品本身的價格。

  【例題3?單選題】消費者收入一般是指社會的人均收入,一般來說,消費者收入變動與需求的變動( )。

  A.呈同方向變化

  B.呈反方向變化

  C.不相關

  D.完全等價

  『正確答案』A

  『答案解析』消費者收入變動與需求的變動呈同方向變化。

  【例題4?單選題】(2009年)某月內,甲商品的替代品和互補品的價格同時上升,引起的甲商品的需求變動量分別為50單位和80單位,則在這類商品價格變動的共同作用下,該月甲商品的需求量變動情況是( )。

  A.增加30單位

  B.減少30單位

  C.增加130單位

  D.減少130單位

  『正確答案』B

  『答案解析』某商品的需求量與其替代品價格變化同方向,與其互補品價格變化相反。替代品價格上升,導致本商品需求量上升50個單位,互補品價格上升導致本商品需求量下降80個單位,總共影響是甲商品需求量下降30個單位。

  (三)需求函數、需求規律和需求曲線(掌握)

  需求函數:表示一種商品的需求量與影響該需求量的各種因素之間的相互關系,在假定價格之外的其他各種因素不變情況下,需求函數表明某商品的消費者隨價格變化愿意購買的數量。

  Qd=Qd(p)

  需求規律:一般情況下,需求與價格的變動成反方向變化。特殊商品不符合需求規律,如鉆石、某些生活必需品。

  需求曲線:把需求和價格之間的關系用曲線表示出來,這條曲線被稱為需求曲線。需求曲線從左上方向右下方傾斜。

  需求的變動分為兩種類型:

  (1)需求數量的變動

 、俦旧韮r格變動引起的

 、谛枨笄上點的變動

  (2)需求的變動

  ①商品本身價格以外的其他因素變化引起的需求的變化

 、谡麠l需求曲線的位移

  【例題?單選題】需求的變動是多種因素共同作用的結果,下列屬于需求數量的變動的是( )。

  A.其他因素不變,商品本身價格變動引起的需求數量變動

  B.其他因素不變,替代品價格變動引起的某商品需求數量變動

  C.其他因素不變,互補品價格變動引起的某商品需求數量變動

  D.其他因素不變,消費者收入變動引起的某商品需求數量變動

  『正確答案』A

  『答案解析』其他三項都屬于需求的變動,而不是需求數量的變動。

   免費預定:經濟師報名考試小秘書短信提醒>>   復習計劃

  中級經濟師難不難?   成績查詢  各地證書領取  答疑精選匯總

  2014年經濟師劉艷霞獨家主講       環球網校2013押題命中90%

  環球網校友情提示:如果您在此過程中遇到任何疑問,請登錄環球網校經濟師頻道&論壇,或加經濟師考試QQ群:129666620,我們隨時與廣大考生朋友們一起交流!



熱點專題:2014經濟師報名入口|新教材解析|經濟師如何選專業|[每月免費課堂]

套餐推薦:"私人訂制"學習方案|全程一對一|零基礎VIP保過|初中級保過|超值特惠

   2014經濟師《中級經濟基礎》講義匯總

  二、市場供給

  (一)供給的含義和影響供給的因素(掌握)

  供給是指某一時間內和一定的價格水平下,生產者愿意并可能為市場提供商品或服務的數量。供給是供給欲望和供給能力的統一。

  市場供給是所有生產者供給的總和。

  供給函數:表示各種影響因素與供給量之間的函數關系。在假定價格之外的其他各種因素不變情況下,只考慮某種商品的供給量和該商品價格之間的關系的供給函數為:

  Qs=Qs(p)

影響供給的因素對供給的影響
(1)產品價格在其他條件不變的情況下,某種產品自身的價格和其供給的變動呈正方向變化。
(2)生產成本在其他條件不變的情況下,某種產品自身的成本和其供給的變動呈反方向變化。
(3)生產技術生產技術的進步或革新,將增加產品供給。
(4)預期生產者對未來的預期直接影響到生產計劃的制定,從而影響到商品的供給數量。
(5)相關產品的價格 
(6)其它因素 

  【例題1?單選題】在其他條件不變的情況下,成本降低,供給將( )。

  A.增加

  B.減少

  C.不變

  D.不受任何影響

  『正確答案』A

  『答案解析』其他條件不變的情況下,成本降低,供給將增加。

  【例題2?多選題】影響供給的因素主要包括( )。

  A.產品價格

  B.生產成本

  C.生產技術

  D.生產要素價格 E.消費者的個人收入

  『正確答案』ABCD

  『答案解析』影響供給的因素主要包括產品價格、生產成本、生產技術、預期、相關產品的價格和其他因素等。

  (二)供給規律和供給曲線(掌握)

  供給規律:一般情況下,供給量與價格之間呈正向關系變化。

  供給曲線:用橫軸表示供給量,縱軸表示價格,將供給量和價格之間的關系用曲線表示出來。供給曲線從左下方向右上方傾斜。

  供給的變動是多種因素共同作用的結果:

  (1)供給數量的變動

 、偕唐繁旧韮r格變動引起的

 、诠┙o曲線上點的變動

  (2)供給的變動

 、偕唐繁旧韮r格以外的其他因素變化引起的

 、谡麠l供給曲線的位移

  【例題1?單選題】在其他條件不變的情況下,產品價格降低,供給將( )。

  A.增加

  B.減少

  C.不變

  D.不受任何影響

  『正確答案』B

  『答案解析』在其他條件不變的情況下,產品價格降低,供給將減少。

  【例題2?單選題】供給曲線是一條( )的曲線。

  A.從左上方向右下方傾斜

  B.從左下方向右上方傾斜

  C.水平

  D.垂直

  『正確答案』B

  『答案解析』供給曲線是一條從左下方向右上方傾斜的曲線。

   免費預定:經濟師報名考試小秘書短信提醒>>   復習計劃

  中級經濟師難不難?   成績查詢  各地證書領取  答疑精選匯總

  2014年經濟師劉艷霞獨家主講       環球網校2013押題命中90%

  環球網校友情提示:如果您在此過程中遇到任何疑問,請登錄環球網校經濟師頻道&論壇,或加經濟師考試QQ群:129666620,我們隨時與廣大考生朋友們一起交流!



熱點專題:2014經濟師報名入口|新教材解析|經濟師如何選專業|[每月免費課堂]

套餐推薦:"私人訂制"學習方案|全程一對一|零基礎VIP保過|初中級保過|超值特惠

   2014經濟師《中級經濟基礎》講義匯總

  三、均衡價格

  (一)均衡價格的形成和變動

  考試內容:掌握均衡數量和均衡價格的含義

  均衡價格是供給量和需求量相等時的價格,與均衡價格相對應的相等的供求數量稱為均衡數量。

  

  【例題?單選題】(2011年)市場供給力量與需求力量相互抵消時所達到的價格水平稱為( )。

  A.平均價格

  B.理論價格

  C.平準價格

  D.均衡價格

  『正確答案』D

  『答案解析』本題考查均衡價格的形成。均衡價格就是市場供給力量和需求力量相互抵消時所達到的價格水平。

  (二)均衡價格模型的應用――最高限價與保護價格措施(掌握)

 最高限價保護價格
定義由政府為某種產品規定一個具體的價格,市場交易只能在這一價格之下進行也叫支持價格或最低限價,就是由政府規定一個具體的價格,市場交易只能在這一價格之上進行。
目標保護消費者利益或降低某些生產者的生產成本保護生產者利益或支持某一產業的發展。
措施類型屬于政府對價格的干預措施
實施的情形當某些商品價格上漲幅度過大,有可能影響居民的基本生活需要或影響生產的正常進行時當某些產品價格下降幅度過大,生產者收入過少,有可能影響生產的正常進行時
與均衡價格的關系最高限價低于均衡價格保護價格高于均衡價格
產生的影響實施最高限價,往往出現供不應求現象,造成短缺往往出現供過于求現象
保障措施必須有強有力的行政措施或分配措施需建立政府的收購和儲備系統
注意事項只宜短期、在局部地區實行,不應長期化只宜在糧食等少數農產品上實行

  【例題1?單選題】(2007、2008年)在我國,實行最高限價屬于政府對市場價格的( )。

  A.平衡措施

  B.引導措施

  C.緊急措施

  D.干預措施

  『正確答案』D

  『答案解析』實行最高限價屬于政府對市場價格的干預措施。

  【例題2?多選題】下列關于最高限價的說法,正確的是( )。

  A.其目標是保護消費者利益或降低某些生產者的生產成本

  B.屬于政府對價格的干預措施

  C.最高限價低于均衡價格

  D.最高限價高于均衡價格

  E.其目標是保護生產者利益或支持某一產業的發展

  『正確答案』ABC

  『答案解析』本題考查最高限價,最高限價低于均衡價格;最高限價的目標是保護消費者利益或降低某些生產者的生產成本,所以DE錯誤。

  【例題3?多選題】(2010年)在一般情況下,政府對農產品實施保護價格可能產生的結果有( )。

  A.供給短缺

  B.生產者變相漲價

  C.市場過剩

  D.生產者收入下降

  E.生產增長

  『正確答案』CE

  『答案解析』由于保護價格高于均衡價格,會刺激生產、限制消費,導致市場過剩。如果沒有政府的收購,就會出現變相降價或黑市交易等問題,并可能導致市場價格的下降。

  【例題4?多選題】(2008年)下列關于保護價格的說法中,正確的有( )。

  A.總是高于均衡價格

  B.總是低于均衡價格

  C.導致市場過剩,需要政府收購

  D.導致市場短缺,需要實行配給制

  E.可能會出現變相漲價現象

  『正確答案』AC

  『答案解析』保護價格也稱為支持價格或最低限價,目的是保護生產者利益或支持某一產業的發展。屬于政府對價格的干預措施。保護價格高于均衡價格,實施保護價格,往往出現供過于求現象,為此需建立政府的收購和儲備系統。

   免費預定:經濟師報名考試小秘書短信提醒>>   復習計劃

  中級經濟師難不難?   成績查詢  各地證書領取  答疑精選匯總

  2014年經濟師劉艷霞獨家主講       環球網校2013押題命中90%

  環球網校友情提示:如果您在此過程中遇到任何疑問,請登錄環球網校經濟師頻道&論壇,或加經濟師考試QQ群:129666620,我們隨時與廣大考生朋友們一起交流!



熱點專題:2014經濟師報名入口|新教材解析|經濟師如何選專業|[每月免費課堂]

套餐推薦:"私人訂制"學習方案|全程一對一|零基礎VIP保過|初中級保過|超值特惠

   2014經濟師《中級經濟基礎》講義匯總

  四、彈性

  (一)需求價格彈性

  1.需求價格彈性的定義(掌握)

  需求價格彈性是指需求量對價格變動的反應程度,或者說是價格變動對需求量變動的影響程度,即價格變動在先,價格變動引起需求量變動。是需求量變動百分比與價格變動百分比的比率。即:

  需求價格彈性系數=需求量的相對變動/價格的相對變動

  

  Ed為負數,為簡便起見,取其絕對值。

  2.需求價格彈性系數的計算公式

  (1)點彈性

  點彈性是需求曲線某一點上的彈性

  

  (2)弧彈性

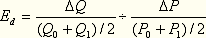
  弧彈性是需求曲線兩點之間的弧的彈性,它適用于價格和需求量變動較大的場合。點彈性適用于價格和需求量變動較小的場合。

  弧彈性系數的計算公式為:

  

  3.需求價格彈性的基本類型

  (1)需求富有彈性或高彈性。Ed>1

  (2)需求單一彈性。Ed=1

  (3)需求缺乏彈性或低彈性。Ed<1

  4.影響需求價格彈性的因素

影響因素對需求價格彈性的影響
(1)替代品的數量和相近程度一種商品若有許多相近的替代品,則其需求價格彈性大。
(2)商品的重要性基本必需品,彈性小;非必需品,彈性大。
(3)商品用途的多少用途越多,需求價格彈性越大。
(4)時間與需求價格彈性的大小至關重要時間越短,商品的需求彈性越缺乏;時間越長,商品的需求彈性就越大。

  5.需求價格彈性和總銷售收入的關系

類型與總銷售收入的關系
(1)需求富有彈性的商品銷售收入與價格變動呈反方向變動趨勢。對于需求富有彈性的商品,才適于采用薄利多銷的政策。
(2)需求單一彈性的商品價格變動不會引起銷售收入的變動。
(3)需求缺乏彈性的商品銷售收入與價格變動成同方向變動趨勢。例子:谷賤傷農


  【例題1?單選題】(2011年)某商品的價格為2元/件時,銷售量為300件;當價格提高到4元/件時,銷售量為100件。按照弧彈性公式計算,該商品的需求價格彈性是( )。

  A.0.40

  B.0.67

  C.1.50

  D.2.00

  『正確答案』C

  『答案解析』本題考查弧彈性的計算公式。弧彈性=200/[(300+100)/2]÷2/[(2+4)/2]=1.5。

  【例題2?單選題】當需求量變動百分數大于價格變動百分數,需求彈性系數大于1時,需求價格彈性的類型為( )。

  A.需求富有彈性

  B.需求缺乏彈性

  C.需求單一彈性

  D.需求完全有彈性

  『正確答案』A

  『答案解析』需求彈性系數大于1時,需求富有彈性。

  【例題3?單選題】以下關于需求價格彈性的影響因素說法中,錯誤的是( )。

  A.時間越短,商品的需求彈性越缺乏

  B.生活基本必需品的需求缺乏彈性

  C.一種商品的用途越多,它的需求彈性越大

  D.一種商品若有極少的替代品,則該商品的需求價格彈性大

  『正確答案』D

  『答案解析』一種商品的替代品越多,則該商品的需求價格彈性大,所以D項錯誤。

  【例題4?單選題】(2007年)在其他條件不變的情況下,如果某產品需求價格彈性系數小于1,則當該產品價格提高時,( )。

  A.會使生產者的銷售收入減少

  B.不會影響生產者的銷售收入

  C.會使生產者的銷售收入增加

  D.生產者的銷售收入可能增加也可能減少

  『正確答案』C

  『答案解析』如果需求價格彈性系數小于1,價格上升會使銷售收入增加。

  【例題5?單選題】( )商品適合采用薄利多銷的方式增加銷售收入。

  A.需求缺乏彈性

  B.需求富有彈性

  C.需求單位彈性

  D.需求無彈性

  『正確答案』B

  『答案解析』需求富有彈性的商品適合采用薄利多銷的方式增加銷售收入。

  (二)需求交叉彈性

  1.需求交叉彈性的定義和公式(掌握)

  定義:一種商品價格的相對變化與由此引起的另一種商品需求量相對變動之間的比率。

  Eij=商品i的需求量的相對變動/商品j的價格的相對變動

  

  2.需求交叉彈性的類型(掌握)

類型彈性值原因舉例
(1)i、j兩種商品為替代品Eij>0商品的需求量與替代品的價格呈同方向變化牛肉價格上升,在羊肉價格不變的情況下,將導致羊肉需求增加。
(2)i、j兩種商品為互補品Eij<0商品的需求量與互補品的價格呈反方向變化汽車價格下降,對汽車需求量增加,從而對汽油需求量增加。
(3)i、j兩種商品是無關的Eij=0  

  【例題1?單選題】( )是指一種商品價格的相對變化與由此引起的另一種商品需求量相對變動之間的比率。

  A.需求價格彈性

  B.供給價格彈性

  C.需求交叉彈性

  D.供給交叉彈性

  『正確答案』C

  『答案解析』本題考查需求交叉彈性的概念。

  【例題2?單選題】當Eij >0,交叉彈性系數為正數時,表明兩種商品的關系為( )。

  A.兩者為互補品

  B.兩者為替代品

  C.兩者無關

  D.以上三種情況均有可能

  『正確答案』B

  『答案解析』交叉彈性系數為正數時,表明兩種商品為替代品。

  【例題3?單選題】(2008年)如果甲產品與乙產品的需求交叉彈性系數是負數,則說明甲產品和乙產品( )。

  A.無關

  B.是替代品

  C.是互補品

  D.是缺乏價格彈性的

  『正確答案』C

  『答案解析』需求交叉彈性系數是負數,兩種產品為互補品。


  (三)需求收入彈性

  1.需求收入彈性的定義和公式

  定義:需求量的變動和引起這一變動的消費者收入變動之比,它用以衡量需求變動對消費者收入變動的反應程度。

  

  2.需求收入彈性的類型

  Ey=1,表明收入變動和需求數量變動是成相同比例的

  Ey>1,表明收入彈性高――高檔品

  Ey<1,表明收入彈性低――必需品

  Ey=0

  Ey<0――低檔品

  【例題?單選題】(2010年)假設消費者的收入增加了20%,此時消費者對某商品的需求增加了10%,則該商品屬于( )。

  A.高檔品

  B.奢侈品

  C.必需品

  D.低檔品

  『正確答案』C

  『答案解析』Ey=需求量的相對變動/消費者收入的相對變動=10%/20%=0.5,Ey<1,則表示該商品是必需品。

   免費預定:經濟師報名考試小秘書短信提醒>>   復習計劃

  中級經濟師難不難?   成績查詢  各地證書領取  答疑精選匯總

  2014年經濟師劉艷霞獨家主講       環球網校2013押題命中90%

  環球網校友情提示:如果您在此過程中遇到任何疑問,請登錄環球網校經濟師頻道&論壇,或加經濟師考試QQ群:129666620,我們隨時與廣大考生朋友們一起交流!



熱點專題:2014經濟師報名入口|新教材解析|經濟師如何選專業|[每月免費課堂]

套餐推薦:"私人訂制"學習方案|全程一對一|零基礎VIP保過|初中級保過|超值特惠

   2014經濟師《中級經濟基礎》講義匯總

  (四)供給價格彈性

  1.供給價格彈性的定義和公式

  定義:價格的相對變化與所引起的供給量的相對變化之間的比率。

  供給價格彈性系數=供給量的相對變動/價格的相對變動

  

  由于供給規律的作用,價格和供給量是呈同方向變化的,因此Es為正值。

  2.供給價格彈性的類型

  (1)Es>1,供給彈性充足;(2)Es<1,供給彈性不充足;(3)Es=1,供給單一彈性;(4)Es=0,供給完全無彈性;(5)Es=∞,供給完全有彈性。第(4)、(5)兩種情況很少見。

  3.影響供給價格彈性的因素(掌握)

影響供給價格彈性的因素對供給價格彈性的影響
(1)決定供給彈性的首要因素:時間短期內,供給彈性一般較。幌喾,在較長的時間內,供給彈性一般比較大。
(2)生產周期和自然條件如農產品
(3)投入品替代性大小和相似程度投入品替代性大,相似程度高,則供給彈性大。

  【例題1?單選題】( )是決定供給彈性的首要因素。

  A.資金有機構成

  B.生產周期和自然條件

  C.投入品替代性大小

  D.時間

  『正確答案』D

  『答案解析』時間是決定供給彈性的首要因素。

  【例題2?單選題】由于供給規律的作用,價格的變化和供給的變化總是( )的,所以,Es的符號始終為( )。

  A.同方向的,正值

  B.反方向的,負值

  C.同方向的,負值

  D.反方向的,正值

  『正確答案』A

  『答案解析』本題考查供給規律。價格和供給同方向變化,供給價格彈性為正值。

  【例題3?多選題】影響供給價格彈性的因素有( )。

  A.替代品數量和相近程度

  B.商品重要性

  C.商品用途多寡

  D.時間 E.生產周期和自然條件

  『正確答案』DE

  『答案解析』影響供給價格彈性的因素有時間、生產周期和自然條件、投入品替代性大小和相似程度。

   免費預定:經濟師報名考試小秘書短信提醒>>   復習計劃

  中級經濟師難不難?   成績查詢  各地證書領取  答疑精選匯總

  2014年經濟師劉艷霞獨家主講       環球網校2013押題命中90%

  環球網校友情提示:如果您在此過程中遇到任何疑問,請登錄環球網校經濟師頻道&論壇,或加經濟師考試QQ群:129666620,我們隨時與廣大考生朋友們一起交流!


分享到: 編輯:環球網校

資料下載 精選課程 老師直播 真題練習

經濟師資格查詢

經濟師歷年真題下載 更多

經濟師每日一練 打卡日歷

0
累計打卡
0
打卡人數
去打卡

預計用時3分鐘

經濟師各地入口
環球網校移動課堂APP 直播、聽課。職達未來!

安卓版

下載

iPhone版

下載

返回頂部