2015年經濟師考試《中級建筑》第一章精編講義
熱點專題:2015年經濟師考試輔導招生簡章
中級建筑精編講義
第一章 資金的時間價值與投資方案選擇
【本章考情分析】
| 年 份 | 單選題 | 多選題 | 案例題 | 合計(分) |
| 2009年 | 5題5分 | 2題4分 | 3題6分 | 10題15分 |
| 2010年 | 5題5分 | 2題4分 | 4題8分 | 11題17分 |
| 2011年 | 5題5分 | 2題4分 | 4題8分 | 11題17分 |
| 2012年 | 5題5分 | 1題2分 | 2題4分 | 8題11分 |
| 2013年 | 5題5分 | 2題4分 | 5題10分 | 11題19分 |
【本章教材結構】

第一節 資金的時間價值
知識點一、資金時間價值的含義
1、資金時間價值的含義
資金在不同的時間上具有不同的價值,由于時間因素形成的價值差額即為資金的時間價值。
2、 資金具有時間價值的原因
①通貨膨脹、貨幣貶值
②承擔風險
③貨幣增值
知識點二、資金時間價值的計算
(一)單利和復利
利息是資金時間價值的具體體現,有單利和復利兩種。
1、單利
利息和時間成線性關系,只計取本金的利息,本金所產生的利息不再計算利息。本利和=本金+利息額 I=P?n?i
2、復利
復利指每期末不支付利息,而將該期利息轉為下期的本金,即不但本金產生利息,而且利息也產生利息。
復利公式:I=P(1+i )n-P
復本利和(F):F=P(1+i )n (1―2)
1. 本金與利率均相同時,按復利計算的利息要比按單利計算的利息高,這是由于利息部分也產生利息的原因。
2. 單利沒有完全地反映出資金運動的規律性,不符合資金時間價值的本質,因而通常采用復利計算。
3. 復利計算公式是研究經濟效果,評價投資方案優劣的重要工具。
(二)資金時間價值的復利計算公式
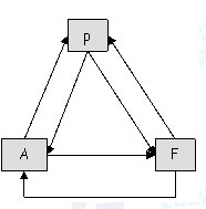
1、現金流量圖(重要的輔助計算工具)

l 一條向右的帶箭頭的線代表時間軸。
l 上面的點代表時間點,起點為0,依次為123…n。
l 向上的箭頭表示現金流入,向下的箭頭代表現金流出,流入流出具有相對性。
箭頭的長短與資金量值成正比
只有將發生在各個點的資金量換算到同一時點,才能比較大小和相加減
2、資金時間價值計算的基本公式
【數字記憶】
l 三個值P(現值);F(將來值);A(年值)

l 兩個因素 :利率(i);計息期(n)
l 六種換算(對應資金時間價值六公式)
現值換算為將來值 P→F
將來值換算為現值 F→P
年值換算為將來值 A→F
將來值換算為年值 F→A
年值換算為現值 A→P
現值換算為年值 P→A
(1)現值換算為將來值 P→F
公式:F=P?(1+i) n=P?(F/P,i,n) (1―3)
形象記憶: (存款)一次存款,到期本利合計多少
系數名稱:一次支付復本利和因數(F/P,i,n)
(F/P,i,n)= (1+i)n
(2)將來值換算為現值 F→P
公式: (1―4)
形象記憶: (存款)已知到期本利合計數,求最初本金。
系數名稱:一次支付現值因數(P/F,i,n)

【注意】(P/F,i,n)與(F/P,i,n)互為倒數
(3)年值換算為將來值A→F
(1―5)
形象記憶:(存款)等額零存整取
系數名稱:等額支付將來值(終值)因數(F/A,i,n)
(4)將來值換算為年值 F→A
(1―6)
形象記憶:(存款、孩子教育基金)已知最后要取出一筆錢,每年應等額存入多少錢。孩子小時定期等額存入教育基金,想到孩子一定年齡(上大學時)一次性取出一定錢數,問每月或每年應存入多少錢。
系數名稱:等額支付償債基金因數(A/F,i,n)
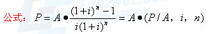
(5)年值換算為現值 A→P
(1―7)
形象記憶:(設施維護基金)某設施以后每年的維護費用一定,為保障以后每年都能得到這等額的維護費用,問最初一次性需存入多少錢作為維護基金。
系數名稱:等額支付現值因數(P/A,i, n)
特別說明:此文系環球網校經濟師頻道原創內容,未經許可不得轉載或抄襲,謝謝合作!
環球網校友情提示:如果您在此過程中遇到任何疑問,請登錄環球網校經濟師頻道&論壇,或加經濟師考試QQ群:129666620,我們隨時與廣大考生朋友們一起交流!

熱點專題:2015年經濟師考試輔導招生簡章
(6)現值換算為年值 P→A
(1―8)
形象記憶:(按揭)住房按揭貸款,已知貸款額,求月供或年供
系數名稱:資本回收因數(A/ P,i,n)
※ 特殊情況:永續年值(n→ ),此時:
P=A/I (1-9)
A=P*I (1-10)
【說明】
① 如果年值一直持續到永遠,是相同時間間隔的無限期等額收付款項時,年值A與現值P之間的計算可以簡化為上式(1―9)、(1―10)。
② 當投資的效果持續幾十年以上時就可以認為n→∞,從而應用式(1―9)、(1―10)簡化計算。
③ 當求港灣、道路以及壽命長的建筑物、構筑物等的投資年值或凈收益的現值時,可用此簡化算法,給問題求解帶來極大方便。
【注意】
① 首先分清三個值,知道已知什么求什么
② 關于因數
形如:(F/P,i,n)
F/P:表示經濟活動的內涵,斜杠右邊的表示已知的值,斜杠左邊的表示要求的值。
③ 六轉化中:
P→F與F→P的因數互為倒數,
A→F與F→A的因數互為倒數。
A→P與P→A的因數互為倒數。
3.資金時間價值換算的基本公式的假定條件
① 實施方案的初期投資發生在方案的壽命期初
② 方案實施中發生的經常性收益和費用假定發生在期末
③本期的期末為下期的期初
④ 現值P是當前期間開始時發生的
⑤ 終值F是當前往后的第N期期末發生的
⑥ 當問題包括P和A時,系列的第一個A是在P發生一個期間后的期末發生的;當問題包括F和A時,系列的最后一個A與F同時發生
4.常見題型分析
l 在三個值之間進行直接的換算(初級-直接套公式)
l 條件不符合公式的假定條件,需進行一定的變換(中級-套用多個公式換算)
l 綜合題,主要是案例分析題,結合運用各知識,需要對題目有一個非常透徹的理解(高級)
5.解題方法
第一步,審題。復雜題必須畫出現金流量圖幫助理解。
第二步,確定換算關系。審題后確定其經濟活動的內涵是哪兩個值之間的換算,寫出關系式,如A=P(A/P,i,n)。
第三步,審查條件。題中的條件與公式換算的假定條件是否一致,如不一致,則需調整換算關系式
第四步,檢查一致性。注意i與n的內涵是否一致。
第五步,計算。將已知數據代入關系式中計算
第二節 單一投資方案的評價
知識點一、數額法(指標:凈現值、凈年值、凈將來值)
(一)基準收益率
就是企業或者部門所確定的投資項目應達到的收益率標準,一般為一個最低的可以接受的收益率。是投資決策的重要參數,基準收益率一般大于貸款利率。
(二)凈現值、凈年值、凈將來值
凈現值(NPV或PW)是投資方案在執行過程中和生產服務年限內各年的凈現金流量(現金流入減現金流出的差額)按基準收益率或設定的收益率換算成現值的總和。其實質是(F→P)或(A→P)。
凈年值(AW)又稱為年值,是將投資方案換算成均勻的等額年值執行過程中和生產服務年限內各年的凈現金流量按基準收益率或設定的收益率換算成均勻的等額年值。實質是(P→A)或(F→A)。
凈將來值(FW)通常稱為將來值,是將投資方案換算成均勻的等額年值執行過程中和生產服務年限內各年的凈現金流量按基準收益率或設定的收益率換算成未來某一時點(通常為生產或服務年限末)的將來值的總和。實質是(P→F)或(A→F)。
(三)數額法的使用
實質:是采用凈現值、凈年值、凈將來值作為評價指標,根據基準收益率或設定的收益率,將投資方案的資金換算到同時點進行計算,并按其值與0進行大小比較,來判斷方案是可以接受,還是不可以接受的方法。
評價標準:
① PW≥0,說明方案正好達到預定的投資收益水平,或者尚有盈余,項目可以接受。
② PW<0,說明方案達不到預定的收益水平,方案不可接受。
【說明】
① 統一方案,凈現值、凈年值、凈將來值這三個指標,正負相同,結論相同;哪個方便即可應用哪個,三個指標之間可以相互換算。
② 計算時必須事先給出基準收益率或設定的收益率來折現。
二、比率法
比率法采用相對數比率(內部收益率)作為評價指標,對單一方案進行評價。
(一)內部收益率的概念
就是使投資方案各年現金流量的凈現值(凈將來值、凈年值)等于零時的利率。即:各年現金流入量的總現值(將來值、年值)與各年現金流出量的總現值(將來值、年值)相等的折現率(PW=0或FW=0、AW=0時的折現率)
【說明】
凈現值、凈將來值、凈年值有一個為零,其他兩個指標也為零,所以無論采用哪一種形式定義的內部收益率,其結果都是一樣的。
特別說明:此文系環球網校經濟師頻道原創內容,未經許可不得轉載或抄襲,謝謝合作!
環球網校友情提示:如果您在此過程中遇到任何疑問,請登錄環球網校經濟師頻道&論壇,或加經濟師考試QQ群:129666620,我們隨時與廣大考生朋友們一起交流!

熱點專題:2015年經濟師考試輔導招生簡章
(二)內部收益率的求法
計算方法-插值法
則內部收益率的計算公式為
(三)內部收益率與方案評價
1、判定標準
① 內部收益率大于或等于基準收益率或設定的收益率,表明方案可接受。
② 內部收益率小于基準收益率或設定的收益率,則方案不可接受。
【說明】
① 只要內部收益率大于基準收益率,凈現值就一定大于0,反之亦然。
② 對于單一的投資方案,數額法與比率法的結論是一致的。
三、期間法
期間法的評價指標是:投資回收期
投資回收期:是指以項目的凈收益抵償初始投資所需要的時間,用于衡量投資項目初始投資回收速度。
(一)投資回收期的求解
用不等式確定范圍,或利用復利系數表查出大約的年份
用公式計算出約等于數字
(二) 投資回收期的運用
判定標準:
① 投資回收期越短越好
② 投資回收期小于方案的壽命期限可接受
③ 投資回收期比國家或企業規定的最大允許回收期短,可接受
第三節 投資方案的類型與評價指標
知識點一、投資方案的類型(三種)
(一)獨立方案:指方案間互不干擾,在選擇方案時可以任意組合,直到資源得到充分運用為止。
(二)互斥方案:若干方案中選擇其中任何一個,其它方案就必然被排斥。
(三)混合方案:若干個互相獨立的方案中,每個獨立方案又存在若干個互斥方案。
知識點二、不同類型投資方案的選擇
(一)獨立方案選擇
1、獨立方案的評價指標
以效率作為指標,效率=效益/制約資源的數量,主要指內部收益率
制約資源,可以是資金,也可以是時間、空間、重量、面積等。
只能用相對指標(盈利能力指標),不能用絕對指標(如凈現值)來作為獨立方案的評價指標。
2、獨立方案的選擇方法(三種情況)
有資金成本約束的項目選擇方法
①計算各方案的效率(投資利潤率或是內部收益率)。
②按效率從大至小的順序排列各方案。
③將用于投資的資金成本,按由小至大的順序排列。
④將上述兩圖合并為獨立方案選擇圖。
⑤效率線與資金成本線交點左邊的方案即為最后選擇方案。
3、內部收益率指標的適用范圍
①各投資方案凈收益類型不同的情況.
②有多個內部收益率的情況。
(二)互斥方案選擇(分兩種情況)
(1)壽命期相同
①凈值法(凈現值、凈年值、凈將來值法)
②差額法(差額的凈現值、差額的凈年值、差額的凈將來值法)多投資是否多收益”。收益增加額現值/年值/將來值―投入增加額/年值/將來值;大于0 就好。
③追加投資收益率法。追加收益率與基準收益率的比較,大于時最好。
(2)壽命期不同
①最小公倍數法
2、凈年值法
【本章總結】
1、第一節資金的時間價值(是本章計算題的基礎,需熟練掌握):
(1)掌握資金時間價值產生的原因
(2)掌握單利、復利的計算,尤其六個資金時間價值的復利計算公式,一定要熟練掌握。(三個值,兩種因素,六種轉換)
(3)掌握資金時間價值公式的六個假設條件,注意分析現金流的大小、方向、尤其作用點。看能否直接應用六公式,不能直接應用,需要先換算再應用。
(4)要注意給定的轉換因數能否直接應用,是否要求倒數。
(5)注意利率與計息期是否一致。
2、單一投資方案的評價:
(1)掌握凈現值、凈年值、凈將來值的求法(實際為第一節內容)
(2)掌握插值法求內部收益率。
(3)熟練掌握單一投資方案的評價方法:數額法、比率法、期間法三種。
(4)熟練掌握單一投資方案的評價指標:凈現值、凈年值、凈將來值(對應數額法);內部收益率(對應比率法);以及投資回收期(期間法,一般不獨立使用)
(5)了解投資回收期的估算方法。
3、投資方案的類型與選擇(實質是多方案的評價與選擇)
(1)掌握投資方案的類型有三種:獨立方案、互斥方案、混合方案
(2)掌握獨立方案的評價指標:只能用相對數:比率(內部收益率)來評價。
(3)掌握壽命期相同的互斥方案的評價指標:①凈現值、凈年值、凈將來值;②差額的凈現值、差額的凈將來值、差額的凈年值(對應于差額法);③追加投資收益率
(4)掌握壽命期不同的互斥方案的評價方法與指標:①年值法(凈年值);②最小公倍數法
(5)計算部分沒有新內容,都是前兩節的知識。
特別說明:此文系環球網校經濟師頻道原創內容,未經許可不得轉載或抄襲,謝謝合作!
環球網校友情提示:如果您在此過程中遇到任何疑問,請登錄環球網校經濟師頻道&論壇,或加經濟師考試QQ群:129666620,我們隨時與廣大考生朋友們一起交流!

最新資訊
- 2020年初中級經濟師《經濟基礎》章節考點匯總2019-11-15
- 2019年初中級經濟師《工商管理》考點匯總2019-10-17
- 2019年初中級經濟師《金融經濟》考點匯總2019-10-15
- 2019年初中級經濟師《建筑經濟》考點匯總2019-10-15
- 2019年初中級經濟師《財政稅收專業》考點匯總(10月12日更新)2019-10-12
- 2019年初中級經濟師《經濟基礎》考點匯總2019-10-10
- 2019年經濟師考試這12個公式必備!2019-09-10
- 2019年全國經濟師考試教材正式出版!2019-07-09
- 2019年經濟師考試備考必背公式集合匯總2019-04-25
- 2019年經濟師考試備考必背公式集合三2019-04-25