2013年招標師《招標采購案例分析》高分沖刺試卷(31)
某工程項目,建設單位與施工單位按照《建設工程施工合同(示范文本)》簽訂了施工合同。合同工期為9個月,合同總價為840萬元。項目監理機構批準的施工進度計劃如圖3―7所示(時間單位:月),各項工作均按照最早時間安排且勻速施工,施工單位的部分報價見表3―11。施工合同中約定:預付款為合同總價的20%,當工程款支付達到合同價的50%時開始扣預付款,3個月內平均扣回;質量保修金為合同價的5%,從第1個月開始,按每月進度款的10%扣留,扣完為止。

問 題
1.該施工進度計劃中有幾條關鍵線路?請指出。
2.開工后前3個月施工單位應獲得的工程款是多少?
3.工程預付款是多少?預付款從何時開始扣回?開工3個月后,總監理工程師每個月簽證的工程款是多少?
某工程,業主在招標文件中規定:工期T(周)不得超過80周,也不應短于60周。
解析:
1.該施工進度計劃中的關鍵線路有4條:
A→D→H→J(或①→②→⑤→⑧→⑩);
A→D→H→K(或①→②→⑤→⑧→⑨→⑩);
A→D→I→J(或①→②→⑤→⑥→⑦→⑧→⑩);
A→D→I→K(或①→②→⑤→⑥→⑦→⑧→⑨→⑩)。
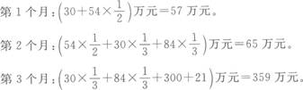
2.開工后前3個施工單位每月應獲得的工程款為:

3.(1)工程預付款為:840萬元×20%=168萬元。
(2)前3個月施工單位累計應獲得的工程款:
(57+65+359)萬元=481萬元>420萬元=840萬元×50%因此,預付款應從第3個月開始扣回。
(3)開工后前3個月總監理工程師簽證的工程款為:
第1個月:(57-57×10%)萬元=51.3萬元(或57萬元×90%=51.3萬元)。第2個月:(65-65×10%)萬元=58.5萬元(或65萬元× 90%=58.5萬元)。前2個月扣留保修金:(57+65)萬元×10%=12.2萬元。
應扣保修金總額:840萬元× 5%=42.0萬元。
由于359萬元×10%=35.9萬元>29.8萬元=(42.0-12.2)萬元。
第3個月應簽證的工程款:[359-(42.0-12.2)-168/3]萬元=273 2萬元。
編輯推薦:
最新資訊
- 招標師專業實務培訓資料:世行工程和貨物采購2018-11-21
- 招標師考試《合同管理》試題答案2018-11-19
- 2018年招標師考試《專業實務》練習題及答案2018-11-09
- 2018年招標師考試《合同管理》精選試題2018-11-09
- 2018年招標師考試《合同管理》精選試題2018-11-09
- 2018招標師考試《招標采購項目管理》同步練習題2018-11-08
- 2018年招標師考試《合同管理》精選試題2018-11-08
- 2018年招標師考試《專業實務》重點試題2018-11-08
- 2018年招標師考試《法律法規》沖刺試題(9)2018-11-05
- 2018年招標師考試《合同管理》精選試題(15)2018-11-05