2013年經濟師考試《中級商業》預習:凈現值法
查看匯總:2013年經濟師考試《中級商業》預習匯總
第十二章 商品流通企業財務管理
12.2 商品流通企業投資管理
對于創造價值而言,投資管理是三項管理中最重要的管理;I資的目的是投資,投資決定了籌資的規模和時間。投資決定了購置的資產類別,不同的生產經營活動需要不同的資產,因此投資決定了日常經營活動的特點和方式。
一、項目投資分析與評價
對項目投資評價時使用的基本方法是折現現金流量法,包括凈現值法、現值指數法和內含報酬率法三種。此外還包括一些輔助方法,包括投資回收期法和會計收益率法。
(一)凈現值法(NPV,net present value):
1.所謂凈現值法,是指通過比較各個投資項目凈現值指標的大小來選擇最優項目韻方法。在此法下,凈現值最大的項目為優。
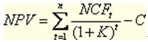
2.計算公式:

式中 NPV――凈現值;
NCFt――第t年現金凈流量;
C――初始投資;
n――項目期限;
k――資本成本。
當NPV大于零時,這個方案帶來了正的現金流,可以采用;當NPV小于零時,則不能采用。如果有多個正的方案可以選擇的話,當然選擇最大的一個。
【例題?教材例題】設預定的折現率為10%,有三項投資方案,其有關數據如表所示。計算各方案的凈現值并選擇比較滿意的方案。
|
年份 |
A方案初始投資:20 000 |
B方案初始投資:9 000 |
C方案初始投資:12 000 | |||
|
|
凈收益 |
現金凈流量 |
凈收益 |
現金凈流量 |
凈收益 |
現金凈流量 |
|
1 |
1 800 |
11 800 |
-1 800 |
1 200 |
600 |
4 600 |
|
2 |
3 240 |
13 240 |
3 000 |
6 000 |
600 |
4 600 |
|
3 |
|
|
3 000 |
6 000 |
600 |
4 600 |
|
合計 |
5 040 |
25 040 |
4 200 |
13 200 |
1 800 |
13 800 |
『正確答案』

A、B兩項方案投資的凈現值為正數,說明該方案的報酬率超過10%。如果企業的資金成本率或要求的投資報酬率是10%,這兩個方案是有利的,因而是可以接受的。C方案凈現值為負數,說明該方案的報酬率達不到10%,因而應予放棄。A方案和B方案相比,A方案更好些。
3.凈現值的優點
(1)凈現值的計算考慮了貨幣的時間價值。
(2)凈現值能明確反映出一項投資使企業增值(或減值)的數額大小。
4.凈現值法的缺點
(1)不能真正反映投資項目的獲利能力大小。凈現值的計算主要依賴于資本成本數值的大小,而資本成本的大小主要由企業籌資成本決定。這就是說,一個投資項目的獲利能力大小并不能由凈現值指標直接反映出來,一個獲利能力很強的投資項目可能由于企業籌資成本較高而使得該項目的凈現值較低。
(2)不能反映投資的相對效益。凈現值法從投資凈所得的角度評價投資項目的優劣,因它是一個絕對值指標,所以未能反映投資的相對效益狀況。
最新資訊
- 2020年初中級經濟師《經濟基礎》章節考點匯總2019-11-15
- 2019年初中級經濟師《工商管理》考點匯總2019-10-17
- 2019年初中級經濟師《金融經濟》考點匯總2019-10-15
- 2019年初中級經濟師《建筑經濟》考點匯總2019-10-15
- 2019年初中級經濟師《財政稅收專業》考點匯總(10月12日更新)2019-10-12
- 2019年初中級經濟師《經濟基礎》考點匯總2019-10-10
- 2019年經濟師考試這12個公式必備!2019-09-10
- 2019年全國經濟師考試教材正式出版!2019-07-09
- 2019年經濟師考試備考必背公式集合匯總2019-04-25
- 2019年經濟師考試備考必背公式集合三2019-04-25