2014年經濟師考試《中級房地產》章節輔導:時間價值及等值計算
第二節 資金的時間價值及等值計算
考點一:名義利率和實際利率的換算公式
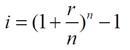
名義利率是指在一年內多次計息時的年利率j實際
利率是指在名義利率包含的單位時間內,按周期利
率復利計息所形成的總利率。把年名義利率轉換為
年實際利率的計算公式為:

上式中,i為實際利率,r為名義利率,n為一年中的計息期數。
(1)當n=1時,i=r,即實際利率等于名義利率。如計息期為年時,年名義利率等同于實際利率。
(2)當n>1時,i>r,且n越大,即一年中計算復利的次數越多,則實際利率相對于年名義利率就越高。
(3)當n

∞時,即一年中使計息期無限多,也就是使計息周期的時間無限小,就可以得出連續復利的一次性支付計算公式:

考點二:資金等效值及其計算
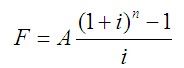
1.等額分付終值公式

容易推導出:

上式為等額分付終值公式, 稱為等額分付終值系數,記為( F/A,i,n)。
應用分析
[例6-2] 某房地產開發企業獲得銀行一筆為期3年的分期支付的貸款,每期支付額為1 000萬元,支付期為每年年初,年貸款利率為7%,到期后一次性還本付息。問3年后該房地產
開發企業償還銀行的本息一共是多少?
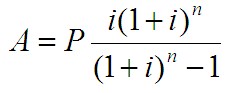
2.等額分付償債基金公式
在年利率為i的情況下,欲將第n年年末的資金F換算為與之等值的n年中每年年末的等額資金,這就是等額分付償債基金的計算問題。顯然,等額分付償債基金的計算是等額分付終值計
算的逆運算,于是得到計算公式:

上式中,

稱為等額分付償債基金系數, 記為(A/F,i,n)。
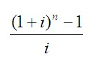
3.等額分付現值公式

(6-15)
上式為等額分付現值公式,
稱為等額分付現值系數,記為(P/A,i,n)。
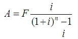
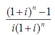
4.等額分付資本回收公式
對于初始投資為P,年利率為i時,在n年內每年年末以等額資金A回收,當A為多少時,所有的回收額等值于初始投資P。這是等額分付資本回收的計算問題,它是等額分付現值公式的逆運算,即已知現值,求與之相等值的等額年值,可由式( 6-15)得出:
(6-16)
最新資訊
- 2020年初中級經濟師《經濟基礎》章節考點匯總2019-11-15
- 2019年初中級經濟師《工商管理》考點匯總2019-10-17
- 2019年初中級經濟師《金融經濟》考點匯總2019-10-15
- 2019年初中級經濟師《建筑經濟》考點匯總2019-10-15
- 2019年初中級經濟師《財政稅收專業》考點匯總(10月12日更新)2019-10-12
- 2019年初中級經濟師《經濟基礎》考點匯總2019-10-10
- 2019年經濟師考試這12個公式必備!2019-09-10
- 2019年全國經濟師考試教材正式出版!2019-07-09
- 2019年經濟師考試備考必背公式集合匯總2019-04-25
- 2019年經濟師考試備考必背公式集合三2019-04-25