2013年經濟師考試《中級商業》預習:市場預測的方法
查看匯總:2013年經濟師考試《中級商業》預習匯總
第四章 商品流通企業預測與決策
4.1市場預測
二、市場預測的方法
(一)定性預測法:
定性預測是指預測未來發展的大致趨勢或方向,主要靠人們的主觀判斷。 包括:德爾菲法、類推法、用戶調查法。
1. 德爾菲法 又稱為老師意見法和老師調查法。蘭德公司1946年創建,后來因為成功的預測了朝鮮戰爭的美軍的失敗而聲名鵲起。德爾菲是以匿名的方式,輪番征詢老師意見,最終得出預測結果的一種經驗意見綜合法。
德爾菲法預測步驟:(1)準備階段。擬定意見征詢表和選定征詢對象。老師的選擇注意以下幾點:第一,自愿性。只有充分考慮老師的自愿性,才能避免老師意見回收率低的問題。保證老師充分發揮積極性、創造性和聰明才智。第二,廣泛性。要求老師有廣泛的來源。第三,人數適度。人數過少,缺乏代表性,信息量不足;人數過多,組織工作困難,成本增加。一般以15-50人為宜。(2)輪番征詢階段(具體見教材)(3)作出預測結論階段。常見的統計處理方法有:中位數和上下四分位數法、算術平均統計處理法、主觀概率統計處理法等。
2. 類推法:包括相關類推法和對比類推法。
(1)相關類推法:是利用已知的相關商品的數據和資料,推斷預測商品未來需求趨勢的一種方法。商品之間的相關關系大體包括:①時間上的先行、后行關系;②可替代商品的關系;③互補性關系。
(2)對比類推法:根據同類商品在不同時期、不同地區的需求情況,加以對比分析,來推斷其未來的發展趨勢。
3. 用戶調查法:又稱購買者意向調查法。就是定期直接向用戶了解下一時期購買的意向,通過綜合分析,推斷出用戶購買意向的變動趨勢。
(二)定量預測法:
1. 時間序列預測法:上期銷售量法、算術平均法、移動平均數法。
時間序列分析法是把預測商品的一組實際銷售量統計數據按照時間順序排列,通過統計分析或建立數學模型進行外推的定量預測方法。這類方法以連貫性原理為依據,以假設事物過去和現在的發展變化趨勢會照樣延續到未來為前提條件,直接從時間序列從統計數據中找出事物發展的規律性,并據此外推預測目標的未來發展趨勢。
(1)上期銷售量法:直接以上期實際銷售量作為下一期銷售量的預測值。把上一期的實際銷售量作為下一期銷售量的預測值。公式:Ft=Dt-1
式中:Ft――第t期的預測銷售量;
Dt-1――第t-1期的實際銷售量,即上期實際銷售量。
這種方法是時間序列分析法的一種極端情況,只考慮最近一個時期的實際數據,忽略其他時期實際數據的影響。它的特征是反映需求變化最快,穩定性低。這種方法適用于實際需求變化幅度不大的情況。
(2)算術平均法: 以時間序列中各個時期的實際銷售量的算術平均值作為下一期的預測銷售量。公式:

【例1】謀商品流通企業某種商品1―12周期的實際銷售量如表4―1所示。用算術平均法預測第13周期的銷售量。
表4―1
|
周期 |
1 |
2 |
3 |
4 |
5 |
6 |
7 |
8 |
9 |
10 |
11 |
12 |
|
實際銷售量D |
500 |
508 |
480 |
600 |
600 |
660 |
590 |
700 |
680 |
740 |
790 |
760 |
第13周期的預測銷售量為:
F 13=(500+508+480+600+600+660+590+700+680+740+790+760)÷12
這種方法是時間序列分析法的另一種極端情況,它考慮了時間序列的全部數據,但把它們都平均了。這種方法的特征是反映需求變化最慢,穩定性強,靈敏性小。算術平均數法適合穩定形態的預測,如用于趨勢形態和季節性形態則誤差較大。
這種方法是時間序列分析法的另一種極端情況,它考慮了時間序列的全部數據,但把它們都平均了。這種方法的特征是反映需求變化最慢,穩定性強,靈敏性小。算術平均數法適合穩定形態的預測,如用于趨勢形態和季節性形態則誤差較大。
(3)移動平均數法:包括一次移動平均數法和二次移動平均數法。
1)一次移動平均數法:即用過去m個周期實際銷售量的算術平均值作為下期銷售量的預測值。這種方法只選取了時間序列中最靠近預測期的一組數據,選取的數據個數(m)固定不變,而隨著預測期向前移動,每組數據的觀察期也向前移動。公式:

式中:Ft――第t期的預測銷售量;
Dt-i――第t-i期的實際銷售量;
m――移動平均所取實際銷售量的期數,簡稱為移動期數。
【例2】某商品流通企業某種商品1―12周期的實際銷售量如表4―2所示。如取m=3,則移動平均數法的各周期預測值F如表4―2所示。用一次移動平均書法求第13周期的銷售量預測值。
|
周期 |
1 |
2 |
3 |
4 |
5 |
6 |
7 |
8 |
9 |
10 |
11 |
12 |
|
實際值D |
501 |
510 |
480 |
600 |
600 |
660 |
591 |
699 |
681 |
741 |
789 |
759 |
|
預測值F |
―― |
―― |
―― |
497 |
530 |
560 |
620 |
617 |
650 |
657 |
707 |
737 |
由于移動期數m為3,故從第4周期起才開始運算:

一次移動平均法是介于上期銷售量法和算術平均法之間的一種方法。
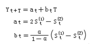
2)二次移動平均數法
二次移動平均數法是利用預測目標時間序列的一次移動平均值和二次移動平均值的滯后偏差演變規律建立起線性方程進行預測的方法。二次移動平均值是以一次移動平均值作為時間序列,再計算第二次的移動平均值,移動期數不變。二次移動平均數法的線性方程式為:

【例3】某商品流通企業某種商品1―12周期的實際銷售量如表4―3所示。如取α=0.8,則指數平滑法的各周期預測值如表4―3所示。此表中的預測值均四舍五入為整數。
表4―3
|
周期 |
1 |
2 |
3 |
4 |
5 |
6 |
7 |
8 |
9 |
10 |
11 |
12 |
|
實際值D |
500 |
510 |
480 |
600 |
600 |
660 |
590 |
700 |
680 |
740 |
790 |
760 |
|
預測值F |
500 |
500 |
508 |
486 |
577 |
595 |
647 |
601 |
680 |
680 |
728 |
778 |
假設第1期的預測值為500,然后代入公式,依次運算:
F 2=0.8×500+(1-0.8)×500=500(千克)
F 3=0.8×510+(1-0.8)×500=508(千克)
F 4=0.8×480+(1-0.8)×508=486(千克)
其余類推。如預測第13期的銷售量,則
F 13=0.8×760+(1-0.8)×778=764(千克)
指數平滑法考慮了時間序列的全部數據,但對接近的數據給予較大的權數,對早期的數據給予遞減的權數。平滑系數α越大,越接近1,對近期數據加的權數越大,反映需求變化的靈敏度越高;反之,α越小,對需求變化反映的靈敏度就越差。和移動平均數法m值的選取方法一樣,指數平滑法α值的選取,可由預測者經驗判斷誤差,也可用試驗方法,先選用若干個α值對時間序列做實驗,并比較不同α之的預測誤差,選取誤差較小單的α值用于預測。

(4)指數平滑法
1)一次指數平滑法:以預測目標的上期實際銷售量和上期預測銷售量為基數,分別給
兩者以不同的權數,計算出指數平滑值,作為下期的預測值。計算公式為:


2. 回歸分析法:一元回歸、多元回歸
回歸分析研究的是變量與變量之間的關系,涉及多個統計量。變量與變量之間的關系有兩種類型:一種是確定型的關系,另一種是非確定型的相關關系。如果只有一個自變量,就稱一元回歸分析,如果涉及兩個或更多的自變量,就稱二元回歸分析、多元回歸分析。一般考試都會直接給出回歸系數,所以大家只要記住:y=a + bx這個公式就可以了。記住常數項是a。式中:y為因變量,即預測值;x為自變量,即引起因變量變化的某影響因素;a、b為回歸系數。在應用一元線性回歸分析法進行銷售量或銷售額預測時,收集的歷史統計數據要盡可能多一些,一般要在20個以上。數據個數太少,預測的正確性差。
最新資訊
- 2020年初中級經濟師《經濟基礎》章節考點匯總2019-11-15
- 2019年初中級經濟師《工商管理》考點匯總2019-10-17
- 2019年初中級經濟師《金融經濟》考點匯總2019-10-15
- 2019年初中級經濟師《建筑經濟》考點匯總2019-10-15
- 2019年初中級經濟師《財政稅收專業》考點匯總(10月12日更新)2019-10-12
- 2019年初中級經濟師《經濟基礎》考點匯總2019-10-10
- 2019年經濟師考試這12個公式必備!2019-09-10
- 2019年全國經濟師考試教材正式出版!2019-07-09
- 2019年經濟師考試備考必背公式集合匯總2019-04-25
- 2019年經濟師考試備考必背公式集合三2019-04-25