2010《初級工商專業》:生產過程組織(3)
更新時間:2010-09-20 10:33:54
來源:|0
瀏覽
收藏
第三節 生產過程的時間組織
一、概念----時間上對勞動對象在車間、工段之間遺跡工作地之間的運動配合與銜接進行合理安排和設計。
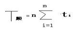
二、順序移動方式----多道工序加工,在上一工序全部加工完畢后再搬到下一工序加工 (周期長)

T順:順序移動法下的產品加工生產周期
n:批量
m:加工工序的道數,
ti:第i道工序的單件工時
例題9:某零件批量為n=3件,加工工序m=4,每道工序加工時間為t1=10分鐘,t2=5分鐘,t3=20分鐘t4=10分鐘,按順序移動方式計算生產周期。
T=3×(10+5+20+10)=135分鐘
三、平行移動方式----每個零件上一工序完工后,立即投入到下一工序加工。

T平:平行移動法下的產品加工生產周期
n:批量
m:加工工序的道數,
ti:第i道工序的單件工時 ,
t最長:在各道工序中,單件工時最長的那道工序的單件工時,
例題10:某零件批量為n=3件,加工工序m=4,每道工序加工時間為t1=10分鐘,t2=5分鐘,t3=20分鐘t4=10分鐘,按平行移動方式計算生產周期。
T=(10+5+20+10)+(3-1)×20=85分鐘
環球網校2010年經濟師考試網絡輔導熱招中 轉自環 球 網 校edu24ol.com
編輯推薦
最新資訊
- 2020年初中級經濟師《經濟基礎》章節考點匯總2019-11-15
- 2019年初中級經濟師《工商管理》考點匯總2019-10-17
- 2019年初中級經濟師《金融經濟》考點匯總2019-10-15
- 2019年初中級經濟師《建筑經濟》考點匯總2019-10-15
- 2019年初中級經濟師《財政稅收專業》考點匯總(10月12日更新)2019-10-12
- 2019年初中級經濟師《經濟基礎》考點匯總2019-10-10
- 2019年經濟師考試這12個公式必備!2019-09-10
- 2019年全國經濟師考試教材正式出版!2019-07-09
- 2019年經濟師考試備考必背公式集合匯總2019-04-25
- 2019年經濟師考試備考必背公式集合三2019-04-25

