2009年統計師《統計基礎知識》時間數列(1)
更新時間:2009-10-19 15:27:29
來源:|0
瀏覽
收藏
統計師報名、考試、查分時間 免費短信提醒
一、 本講主要內容
2.速度指標
(1)發展速度
發展速度是以相對數形式表示的兩個不同時期發展水平的比值,表明報告期水平已發展到基期水平的幾分之幾或若干倍。計算公式為:
發展速度= 由于基期選擇的不同,發展速度有定基與環比之分。
1、 定基發展速度
定基發展速度是報告期水平與某一固定時期水平(通常是最初水平)的比值,用ai表示,則有:

它說明社會經濟現象相對于某個基礎水平,在一定時期內總的發展速度。
2、環比發展速度
環比發展速度是報告期水平與其前一其水平的比值,用bi表示,則有:

它說明所研究現象相鄰兩個時期(逐期)發展變化的程度。
定基發展速度與環比發展速度的關系有:
第一, 定基發展速度等于相應時期內各環比發展速度的連乘積:

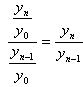
第二, 兩個相鄰時期定基發展速度的比率等于相應時期的環比發展速度;

實際工作中,經常利用上述關系式對發展速度指標進行推算或換算。
編輯推薦
最新資訊
- 倒計時5天!2025年統計師考試考前必背考前幾頁紙!(初級+中級)2025-10-14
- 僅剩9天!2025年統計師考試考前沖刺備考資料免費下載(初級+中級)2025-10-10
- 免費下載!沖刺階段的復習寶典-2025年中級統計師考前幾頁紙(各科目匯總)2025-10-10
- 必背資料!2025年中級統計師考試-經濟學基礎知識-考前10頁紙2025-10-10
- 沖刺寶典!2025年中級統計師考試-會計基礎知識-考前12頁紙2025-10-10
- 考前必背!2025年中級統計師-統計學基礎知識-考前14頁紙2025-10-10
- 沖刺必備:2025年中級統計師-統計實務-考前10頁紙2025-10-10
- 統計師考前沖刺:2025年中級統計師-統計法規-考前5頁紙2025-10-10
- 統計師考試倒計時!2025年初級+中級考前幾頁紙關鍵知識點速記2025-10-10
- 免費下載-考前急救!2025年初級統計師考前幾頁紙(匯總)2025-10-09

