2009年統計師《統計基礎知識》統計指數(3)
更新時間:2009-10-19 15:27:29
來源:|0
瀏覽
收藏
統計師報名、考試、查分時間 免費短信提醒
(一) 總指數及其編制方法
1. 綜合指數的編制方法
(1) 總指數的綜合形式,即綜合指數。它編制計算的特點是:先綜合,后對比。它編制的要點是:將不能直接加總的研究對象,通過一定的方式形成可以加總、對比的總量指標后進行對比,計算總指數。比如:
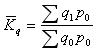
一種商品價格指數=![]()
表示商品報告期價格, 表示基期價格。
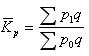
價格的綜合指數反映多種商品價格變動情況,可從商品銷售量不變只有價格變量計算銷售總額編制價格綜合指數。比如:
式中 表示的是銷售量。
計算綜合指數,用以對比的總量指標一般由兩類因素指標構成:一是所要研究其變動的指標,稱為指數化的指標,另一類便是將不可直接相加的指數化指標轉化為可以直接相加對比的總量指標的同度量因素。
編制綜合指數時,必須解決好兩個基本問題。
第一, 確定同度量因素,對復雜總體進行綜合;
第二, 將同度量因素固定在某一時期,消除同度量因素的影響。
(2) 數量指標綜合指數的編制
以綜合形式計算數量指標的總指數,稱為數量指標綜合指數。
在計算數量指標綜合指數時,以能夠使數量指標過渡到可以相加的質量指標為同度量因素,并通常將其固定在基期的水平上。數量指標綜合指數計算公式如下:

式中: 表示數量指標的綜合指數; 表示報告期數量指標; 表示基期數量指標; 表示基期的質量指標。
現以商品銷售量總指數的編制為例,說明數量指標綜合指數的編制方法。
編輯推薦
最新資訊
- 倒計時5天!2025年統計師考試考前必背考前幾頁紙!(初級+中級)2025-10-14
- 僅剩9天!2025年統計師考試考前沖刺備考資料免費下載(初級+中級)2025-10-10
- 免費下載!沖刺階段的復習寶典-2025年中級統計師考前幾頁紙(各科目匯總)2025-10-10
- 必背資料!2025年中級統計師考試-經濟學基礎知識-考前10頁紙2025-10-10
- 沖刺寶典!2025年中級統計師考試-會計基礎知識-考前12頁紙2025-10-10
- 考前必背!2025年中級統計師-統計學基礎知識-考前14頁紙2025-10-10
- 沖刺必備:2025年中級統計師-統計實務-考前10頁紙2025-10-10
- 統計師考前沖刺:2025年中級統計師-統計法規-考前5頁紙2025-10-10
- 統計師考試倒計時!2025年初級+中級考前幾頁紙關鍵知識點速記2025-10-10
- 免費下載-考前急救!2025年初級統計師考前幾頁紙(匯總)2025-10-09

