2015年監理工程師《進度控制》第三章考點沖刺二
相關推薦: 《質量控制》電子版教材
第二節 網絡圖的繪制一、雙代號網絡圖的繪制規則
(1)網絡圖必須按照已定的邏輯關系繪制。

(2)網絡圖中嚴禁出現從一個節點出發,順箭頭方向又回到原出發點的循環回路。

(3)網絡圖中的箭線(包括虛箭線)應保持自左向右的方向,不應出現箭頭指向左方的水平箭線和箭頭偏向左方的斜向箭線。
(4)網絡圖中嚴禁出現雙向箭頭和無箭頭的連線。
(5)網絡圖中嚴禁出現沒有箭尾節點的箭線和沒有箭頭節點的箭線。圖3-7即為錯誤的畫法。

(6)嚴禁在箭線上引入或引出箭線,圖3-8即為錯誤的畫法。

但當網絡圖的起點節點有多條箭線引出(外向箭線)或終點節點有多條箭線引入(內向箭線)時,為使圖形簡潔,可用母線法繪圖。

(7)應盡量避免網絡圖中工作箭線的交叉。當交叉不可避免時,可以采用過橋法或指向法處理,如圖3-10所示。
(8)一幅網絡圖中應只有一個起點節點和一個終點節點。
二,單、雙代號網絡圖的繪制(略講)
【例題1】某分部工程雙代號網絡計劃如下圖所示,圖中錯誤為()。

A.節點編號有誤
B.工作代號重復
C.多個起點節點
D.多個終點節點
E.存在循環回路
答案:A、D、E
解析:工作9-5,工作9-8錯,節點編號有誤;
⑧節點,⑩節點為終點節點,多個終點節點;
存在循環回路:⑤-⑥-⑨-⑤。
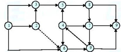
【例題2】某分部工程雙代號網絡計劃如下圖所示,圖中錯誤為()。

A. 多個起點節點
B. 多個終點節點
C. 節點編號有誤
D. 存在循環回路
E. 工作代號重復
答案:C、D、E
解析:工作8-7,工作9-4,工作9-9錯;節點9編號重復;
存在循環回路:④-⑦-⑨-④。
溫馨提示:各位考友可進入監理工程師考試論壇與廣大考友一起學習交流。
編輯推薦:
最新資訊
- 2026年度監理工程師理論與法規復習筆記2025-10-17
- 2026年監理工程師《合同管理》重要知識點總結2025-10-17
- 高效備考!2026年監理考點精講試聽課正式上線,專治“零基礎沒方向”“老考生卡瓶頸”!2025-09-17
- 免費下載!監理工程師考試各科目易錯知識點2025-09-17
- 2026年監理備考:歷年真題+新生備考大禮包,均可領取!2025-09-17
- 2026監理工程師《合同管理》考試知識點:定金2025-09-05
- 2026監理工程師《理論法規》考試知識點:全過程工程咨詢實施策略2025-09-05
- 2026監理工程師《理論法規》考試知識點:工程總承包模式及其特點2025-08-29
- 必看避坑指南!監理工程師《目標控制》易錯點匯總2025-08-29
- 別再丟分!監理工程師《理論和法規》易錯點匯總2025-08-25