注冊監理工程師考試中6個利息公式記憶方法
更新時間:2009-10-19 15:27:29
來源:|0
瀏覽
收藏
監理工程師報名、考試、查分時間 免費短信提醒
摘要 以利息公式記憶為例,談如何一次性記住6個復雜的利息公式。
在監理工程師的復習過程中會經常遇到一些比較復雜難記的公式,給我們復習帶來不便。但是如果我們認真的分析,不難發現有很多的公式之間也存在內在聯系,可能很多公式只是某幾個的不同變化而已,只要我們記住了最根本的幾個,也許就可以事半功倍了。以利息公式記憶為例,談如何一次性記住6個復雜的利息公式。
在這6個利息公式記憶中,其實我們只要死死記住(1)(2)兩個公式,記住其它的公式也就不在話下了:
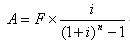
1.知現值,求將來值

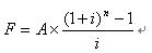
2.知將來值,求等額年金。

其余的公式現場推導,只用2分鐘,就都有了。
3.知將來值,求現值。
由1得:

4.知等額年金,求將來值。
由2得:

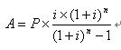
5.知現值,求等額年金。
1代入2得:

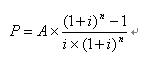
6.知等額年金,求現值。
2變換代入1或由5得:

注意:使用公式一定要和圖式符合,不符合時折算到符合圖式后再套用公式。
可見,只要在學習的過程更加善于思考,總結規律,學習會輕松很多。日前已公布09年監理工程師的考試將于5月23、24日舉行,環球網校預祝廣大參加09年監理工程師的考生復習備考順利! 更多內容請進>>環球網校監理工程師頻道 環球監理工程師考試交流論壇
?04、05、06、07年監理工程師考試試卷及答案匯總
?2009監理工程師老師輔導,現在報名可獲贈08和07年課程!
編輯推薦
下一篇:2009年監理工程師考試復習建議
最新資訊
- 監理工程師怎么學好合同管理?2025-11-19
- 監理工程師復習計劃表:從入門到沖刺,分階段學習時間表2025-11-17
- 零基礎如何備考監理工程師?教材+真題這樣用2025-11-11
- 監理工程師考試怎么學?分科目技巧+真題刷題攻略2025-11-10
- 監理工程師備考計劃:從教材到真題的3階段攻略2025-11-04
- 監理案例備考避坑指南:別再盲目刷套題2025-11-04
- 注冊監理工程師考試備考經驗分享2025-11-04
- 注冊監理工程師案例怎么復習?2025-10-31
- 監理考試先考哪科?內行人推薦這個順序!2025-10-31
- 全國注冊監理備考多久能過?2025-10-30