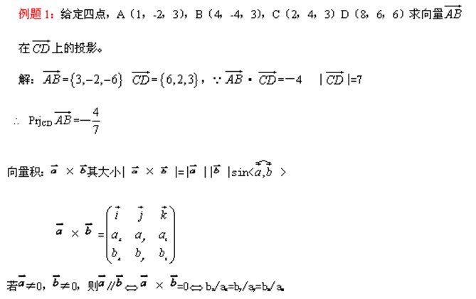
一級結構工程師基礎考點:向量代數
更新時間:2013-02-17 14:08:47
來源:|0
瀏覽
收藏
結構工程師報名、考試、查分時間 免費短信提醒
摘要 為方便廣大考生朋友準備2013年的結構工程師考試,環球網校特地對基礎考點進行了匯總,希望能提高您的復習效率。
編輯推薦
下一篇:一級結構工程師基礎考點:曲面
最新資訊
- 2025年一級注冊結構工程師考前實戰試題解析:突破考試瓶頸的終極指南‌2025-10-13
- 2025年一級注冊結構工程師常考知識點2025-02-17
- 2025年二級注冊結構工程師高頻知識點2025-02-17
- 2024年度二級注冊結構工程師專業考試資料:規范、標準、規程2024-08-13
- 2024年度一級注冊結構工程師專業考試資料:規范、標準、規程2024-08-13
- 環球網校雙11預售開啟!定金百倍膨脹,直播再返現金2023-10-25
- 環球網校結構工程師雙11活動來啦,限時優惠!2023-10-25
- 注冊結構工程師考試大綱下載2023-05-16
- 2023年一級注冊結構工程師考試大綱內容2023-04-14
- 2023年結構工程師教材內容變動對比2023-04-10



