2011結構工程師基礎知識答疑精選18
更新時間:2011-07-13 17:10:37
來源:|0
瀏覽
收藏
結構工程師報名、考試、查分時間 免費短信提醒
學員問題: $lesson$
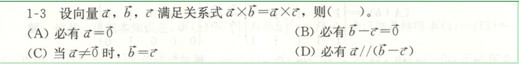
2、老師,麻煩幫解答下這道題目。

老師回答:
我們將右邊的式子移到左邊,a×(b-c)=0 ,則說明,a向量和(b-c)這個向量的叉乘為0,則a和(b-c)這兩個向量平行。
有關此部分的知識,我們會在今年的課程中補充上去。請留意。
2010結構工程師考試成績查詢匯總 2010年結構工程師考后交流正熱
2011結構工程師考試輔導招生簡章 2011年度結構工程師考試時間確定
編輯推薦
最新資訊
- 2026結構工程師工資一般多少?薪資全解析與備考指南2025-11-16
- 2026結構工程師有前途嗎?行業趨勢與職業發展全解析2025-11-15
- 2026注冊結構工程師難考嗎?合格工程師的七大生存法則2025-11-10
- 2026巖土工程師與結構工程師終極難度對決:誰才是工程界“天花板”2025-11-10
- 2026一級注冊結構工程師難考嗎?深度剖析通過率與備考策略2025-11-10
- 2025終極對決:結構工程師和一級建造師哪個好?職業黃金選擇與通關秘籍2025-11-07
- 2025一級注冊結構工程師基礎考試真題,11月1日考后即將發布:權威解析與備考策略2025-10-31
- 刷二級結構工程師真題的真相:一個注冊結構基礎考試通過者的深度復盤2025-10-31
- 2025二級結構工程師全國通用嗎?執業范圍與跨省注冊全解析2025-10-21
- 2025年一級與二級結構工程師考試難度對比2025-10-16