結構工程師-鋼筋混凝土結構輔導[19]
更新時間:2010-12-10 10:03:36
來源:|0
瀏覽
收藏
結構工程師報名、考試、查分時間 免費短信提醒
(二)單筋矩形截面受彎承載力計算與構造
1 .基本計算公式及適用條件
( 1 )計算公式

( 2 )適用條件
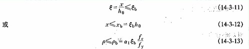
l )為防止超筋破壞,應滿足

2 )為防止少筋破壞,應滿足
![]()
編輯推薦
最新資訊
- 2025年一級注冊結構工程師考前實戰試題解析:突破考試瓶頸的終極指南‌2025-10-13
- 2025年一級注冊結構工程師常考知識點2025-02-17
- 2025年二級注冊結構工程師高頻知識點2025-02-17
- 2024年度二級注冊結構工程師專業考試資料:規范、標準、規程2024-08-13
- 2024年度一級注冊結構工程師專業考試資料:規范、標準、規程2024-08-13
- 環球網校雙11預售開啟!定金百倍膨脹,直播再返現金2023-10-25
- 環球網校結構工程師雙11活動來啦,限時優惠!2023-10-25
- 注冊結構工程師考試大綱下載2023-05-16
- 2023年一級注冊結構工程師考試大綱內容2023-04-14
- 2023年結構工程師教材內容變動對比2023-04-10